آخر تحديث :
27/01/2026
أدويه مخفضه للضغط   Enalapril maleate  
عن طريق الفم
استقرار المستحضرات الصيدلانية استقرار مخاليط العوامل التي تؤثر على الاستقرار التوافق مراجع pdf
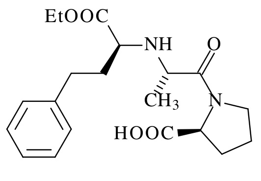
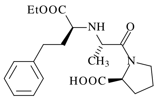
   التركيب الكيميائي  

عن طريق الفم
استقرار مخاليط   عن طريق الفم     استقرار مخاليط : Enalapril maleate     
لا توجد بيانات

  Mentions Légales