Poslední aktualizace :
05/12/2025
Antihypertenzivum   Enalapril maleate  
Perorální roztok
Stabilita farmaceutických přípravků Stabilita směsí Faktory ovlivňující stabilitu Kompatibilita Odkazy pdf
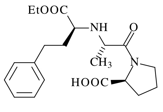
   Chemický vzorec  

Perorální roztok
Stabilita směsí   Perorální roztok   Stabilita směsí : Enalapril maleate     
žádná data

  Mentions Légales