Utolsó frissítés :
27/01/2026
Vérnyomáscsökkentő   Enalapril maleate  
belsőleges oldat
Stabilitása gyógyszerészeti készítmények A keverékek stabilitása Stabilitást befolyásoló tényezők Kompatibilitás Irodalom pdf
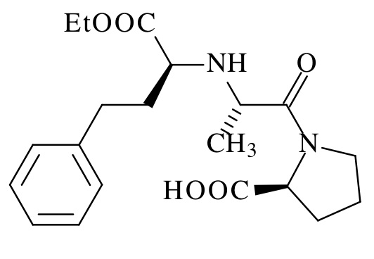
   Kémiai szerkezet   

belsőleges oldat
A keverékek stabilitása   belsőleges oldat   A keverékek stabilitása : Enalapril maleate     
Hiányzó adat

  Mentions Légales