zadnja posodobitev :
27/01/2026
Antihipertenziv   Enalapril maleate  
Peroralna raztopina
Stabilnost farmacevtskih preparatov Stabilnost mešanice Faktorji, ki vplivajo na stabilnost Kompatibilnost Viri pdf
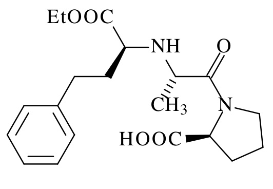
   Kemična formula  

Peroralna raztopina
Stabilnost mešanice   Peroralna raztopina   Stabilnost mešanice : Enalapril maleate     
ni podatka

  Mentions Légales