Son güncelleme :
27/01/2026
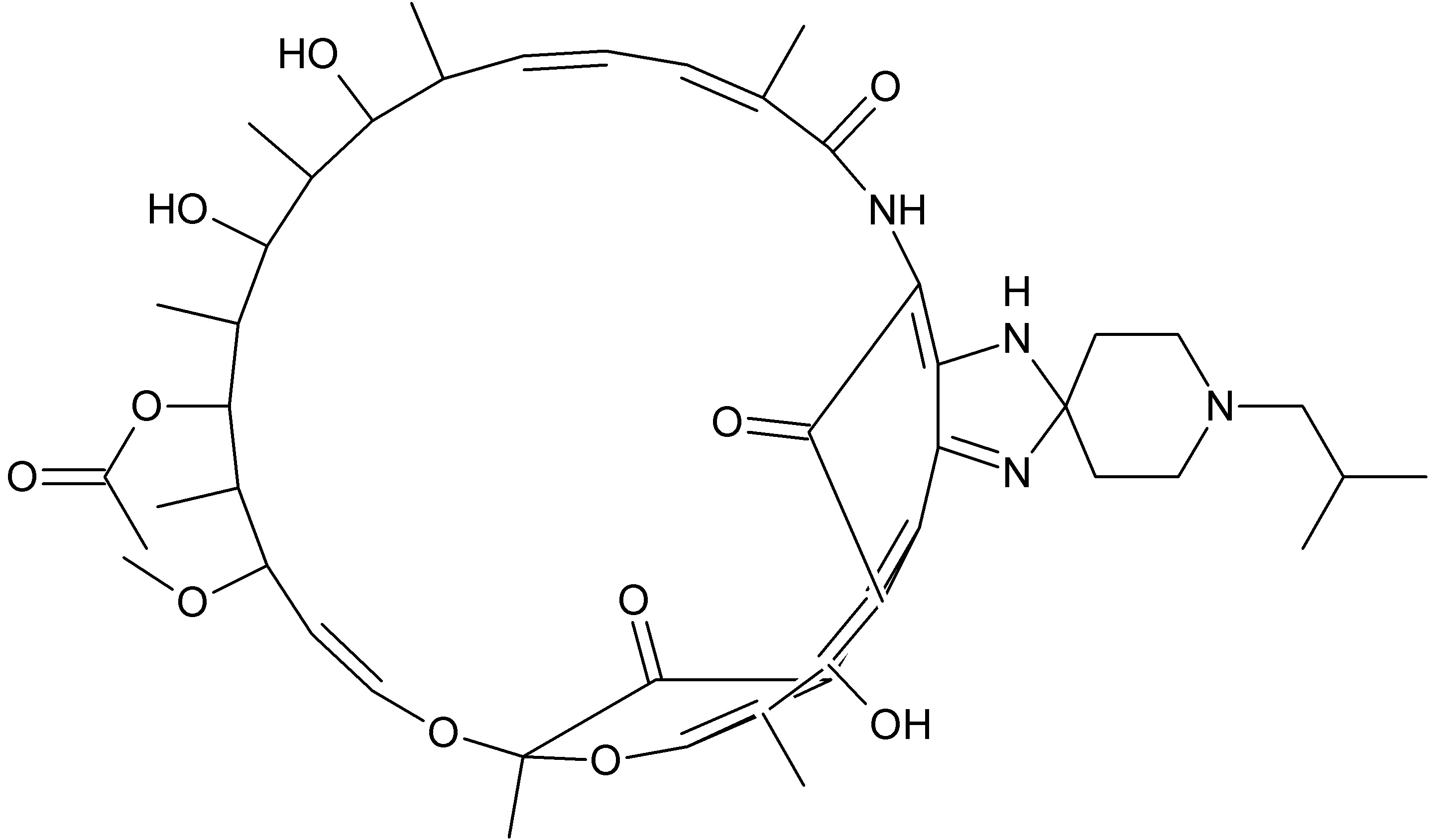
Antibiyotik   Rifabutin  
Oral solüsyon / oral çözelti
Farmasötik preparatlar Kararlılığı Karışımlardaki stabilitesi Stabiliteyi etkileyen faktörler Uyumluluk Kaynaklar pdf
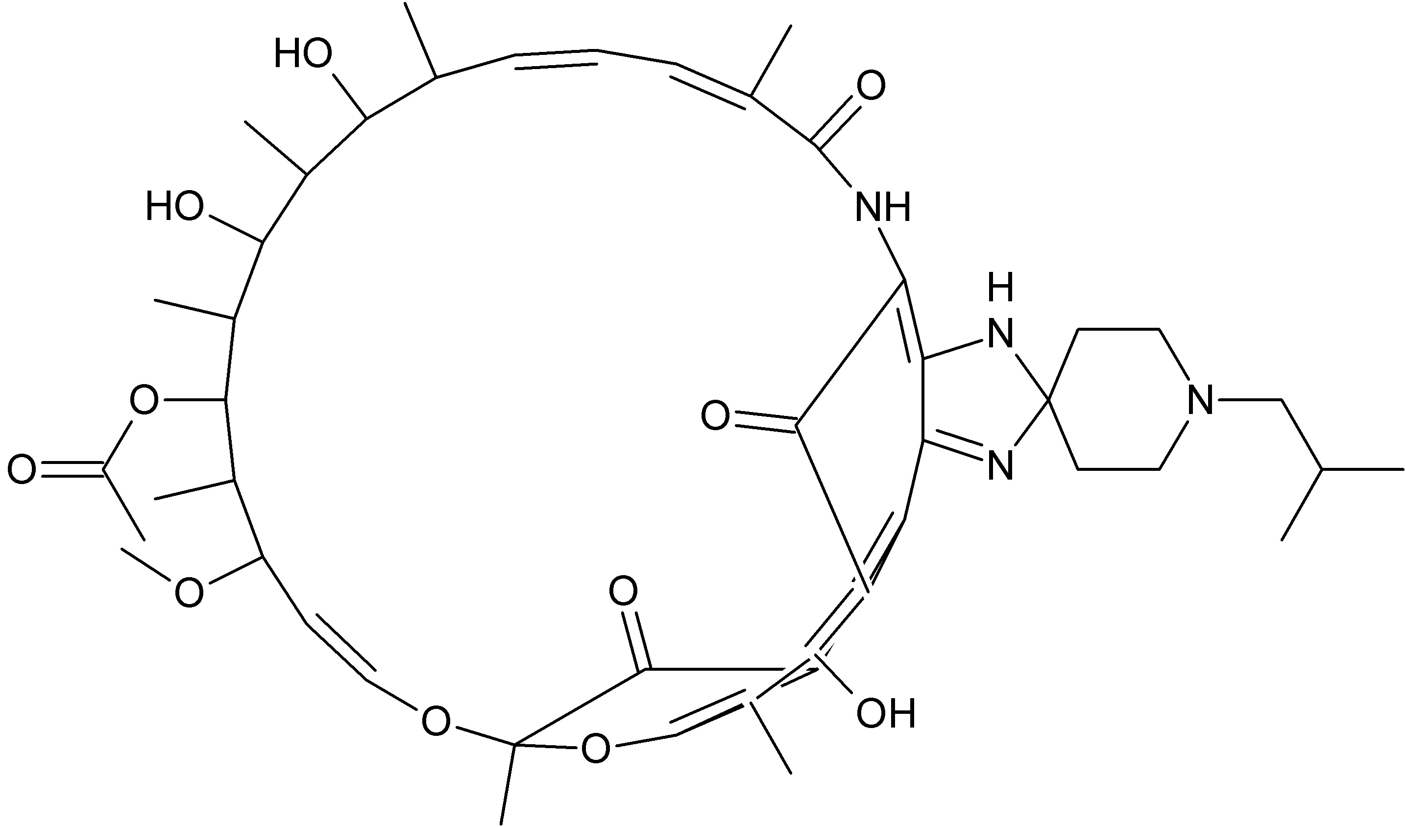
   Kimyasal yapı   

Oral solüsyon / oral çözelti
Farmasötik preparatlar Kararlılığı   Oral solüsyon / oral çözelti   Farmasötik preparatlar Kararlılığı : Rifabutin     
Saklama kabı Origine yardımcı madde Isı Saklama    Stabilite süresi Kaynaklar
Plastik şişe Kapsüller 200 mg
Mycobutin®
Vişne şurubu >>10ml
25°C Belirtilmemiş
84 Gün
2419

Plastik şişe Kapsüller 200 mg
Mycobutin®
OraPlus® / OraSweet® (1:1) >>10ml
25°C Belirtilmemiş
84 Gün
2419

Plastik şişe Kapsüller 200 mg
Mycobutin®
Vişne şurubu >>10ml
30-40°C Belirtilmemiş
56 Gün
2419

Plastik şişe Kapsüller 200 mg
Mycobutin®
OraPlus® / OraSweet® (1:1) >>10ml
30-40°C Belirtilmemiş
84 Gün
2419

Plastik şişe Kapsüller 200 mg
Mycobutin®
Vişne şurubu >>10ml
4°C Belirtilmemiş
84 Gün
2419

Plastik şişe Kapsüller 200 mg
Mycobutin®
OraPlus® / OraSweet® (1:1) >>10ml
4°C Belirtilmemiş
84 Gün
2419


  Mentions Légales