Dernière mise à jour :
27/01/2026
Antibiotique   Rifabutin  
Solution buvable
Stabilité des préparations Stabilité en mélange Facteur influençant la stabilité Compatibilités Bibliographie pdf
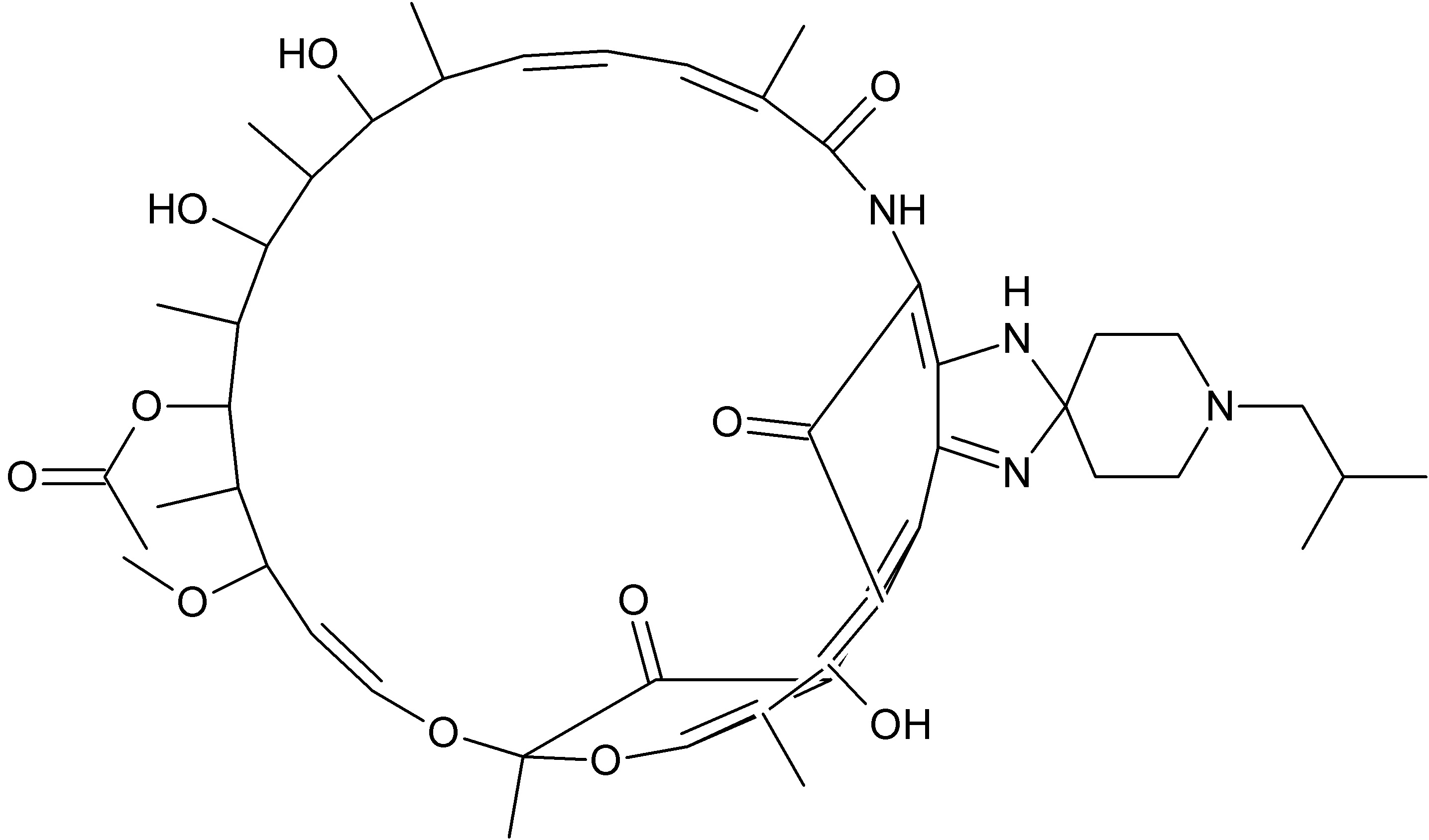
   Structure chimique  

Solution buvable
Stabilité des préparations   Solution buvable   Stabilité des préparations : Rifabutin     
Contenant Origine Excipient Température Conservation Durée de stabilité Bibliographie
Flacon plastique Gélules 200 mg
Mycobutin®
Sirop de cerise >>10ml
25°C Non précisée
84 Jour
2419

Flacon plastique Gélules 200 mg
Mycobutin®
OraPlus® / OraSweet® (1:1) >>10ml
25°C Non précisée
84 Jour
2419

Flacon plastique Gélules 200 mg
Mycobutin®
Sirop de cerise >>10ml
30-40°C Non précisée
56 Jour
2419

Flacon plastique Gélules 200 mg
Mycobutin®
OraPlus® / OraSweet® (1:1) >>10ml
30-40°C Non précisée
84 Jour
2419

Flacon plastique Gélules 200 mg
Mycobutin®
Sirop de cerise >>10ml
4°C Non précisée
84 Jour
2419

Flacon plastique Gélules 200 mg
Mycobutin®
OraPlus® / OraSweet® (1:1) >>10ml
4°C Non précisée
84 Jour
2419


  Mentions Légales