Última actualização :
27/04/2026
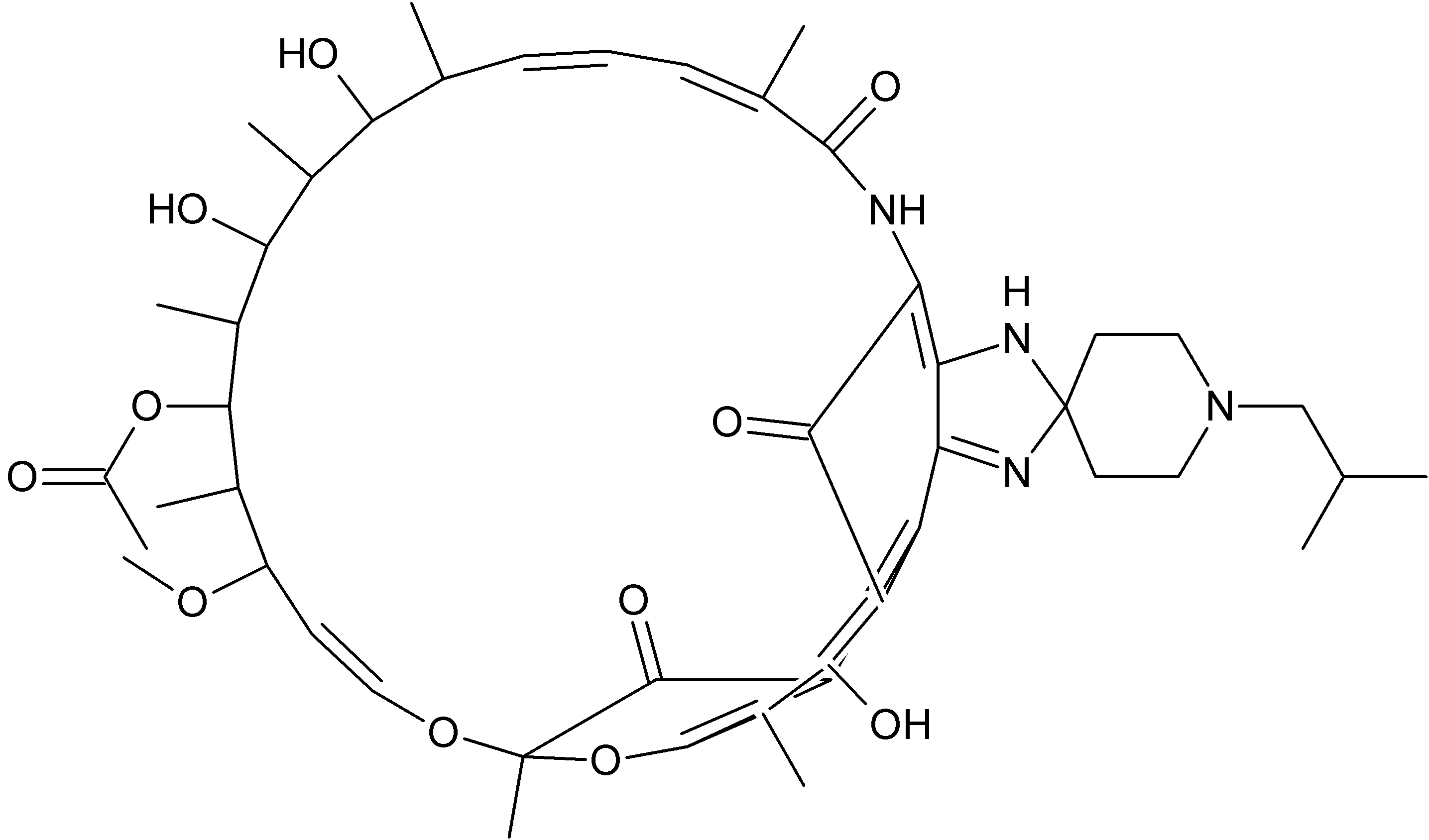
antibiótico   Rifabutin  
Solução Oral
Estabilidade de preparações farmacêuticas Estabilidade em misturas Factores que afectam a sua estabilidade Compatibilidade Bibliografía pdf
   estrutura química  

Solução Oral
Estabilidade de preparações farmacêuticas   Solução Oral   Estabilidade de preparações farmacêuticas : Rifabutin     
Embalagem Origine excipiente temperatura conservação Duração da estabilidade Bibliografia
frasco de plástico cápsulas 200 mg
Mycobutin®
xarope de cereja >>10ml
25°C no especificado
84 dia
2419

frasco de plástico cápsulas 200 mg
Mycobutin®
OraPlus® / OraSweet® (1:1) >>10ml
25°C no especificado
84 dia
2419

frasco de plástico cápsulas 200 mg
Mycobutin®
xarope de cereja >>10ml
30-40°C no especificado
56 dia
2419

frasco de plástico cápsulas 200 mg
Mycobutin®
OraPlus® / OraSweet® (1:1) >>10ml
30-40°C no especificado
84 dia
2419

frasco de plástico cápsulas 200 mg
Mycobutin®
xarope de cereja >>10ml
4°C no especificado
84 dia
2419

frasco de plástico cápsulas 200 mg
Mycobutin®
OraPlus® / OraSweet® (1:1) >>10ml
4°C no especificado
84 dia
2419


  Mentions Légales