 |
|
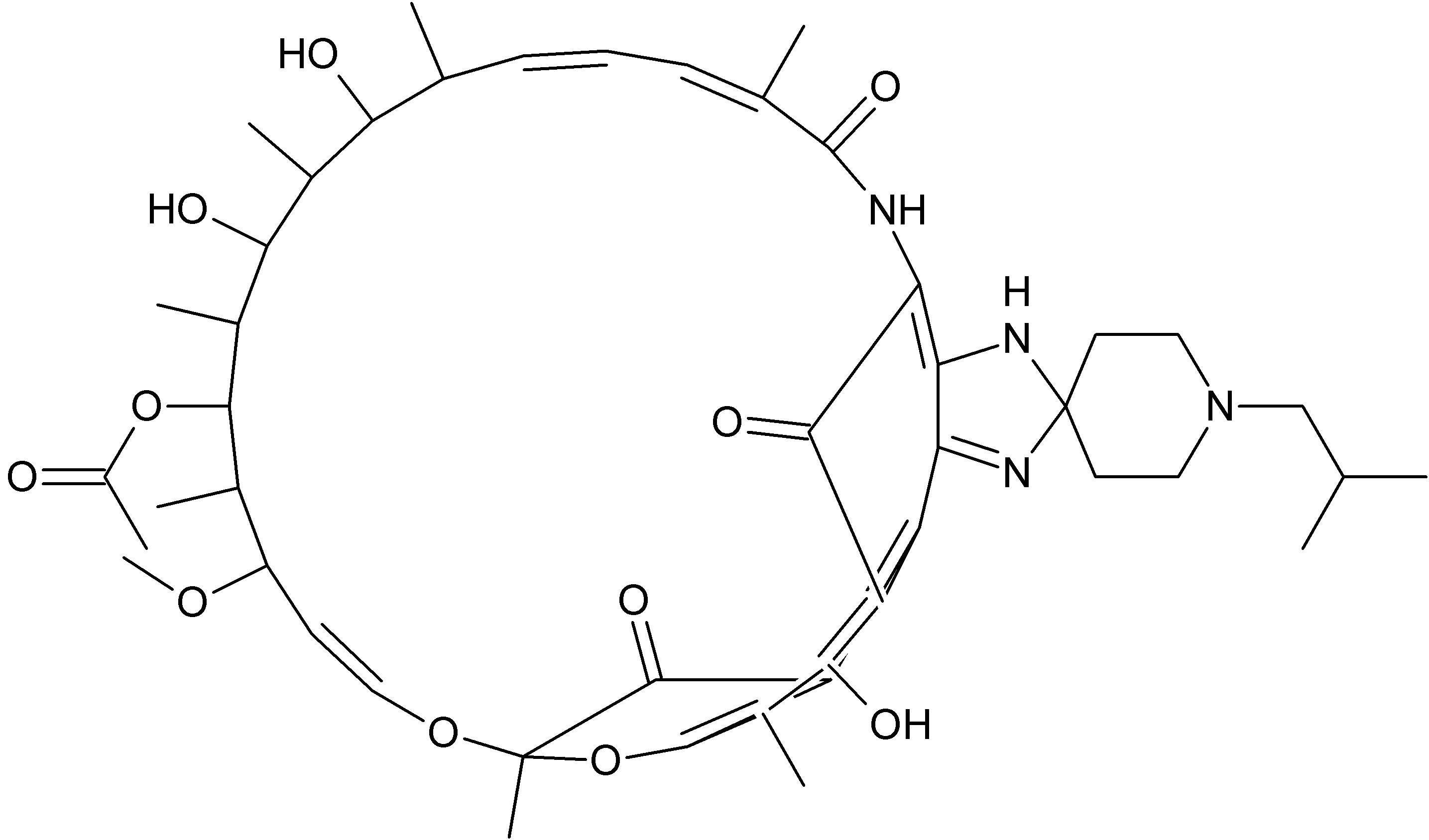
200 mg
Mycobutin® |
| sciroppo di ciliegia |
>>10ml |
|
25°C |
 |
| 84 |
 |
|
2419
|
|
 |
|
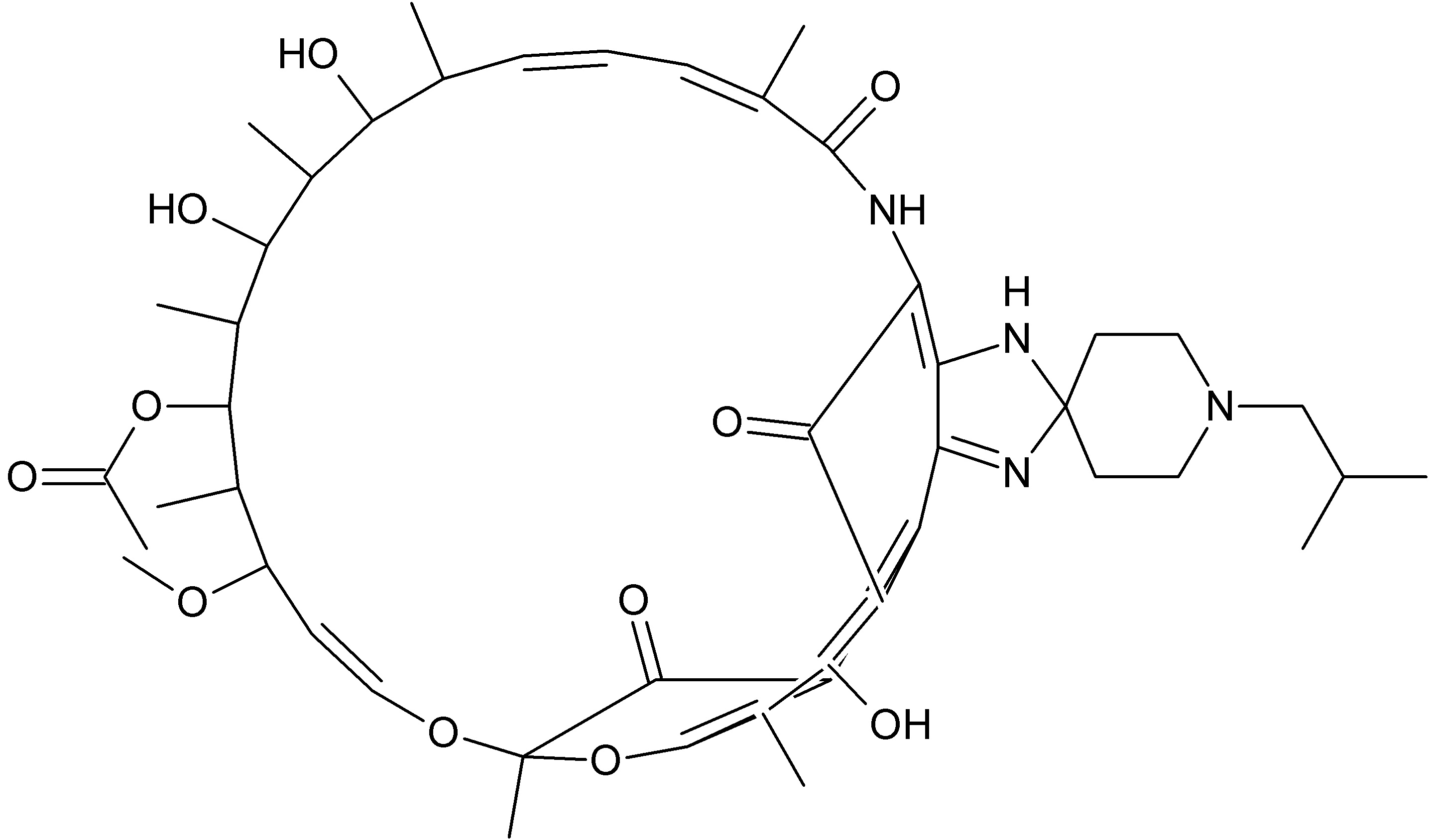
200 mg
Mycobutin® |
| OraPlus® / OraSweet® (1:1) |
>>10ml |
|
25°C |
 |
| 84 |
 |
|
2419
|
|
 |
|
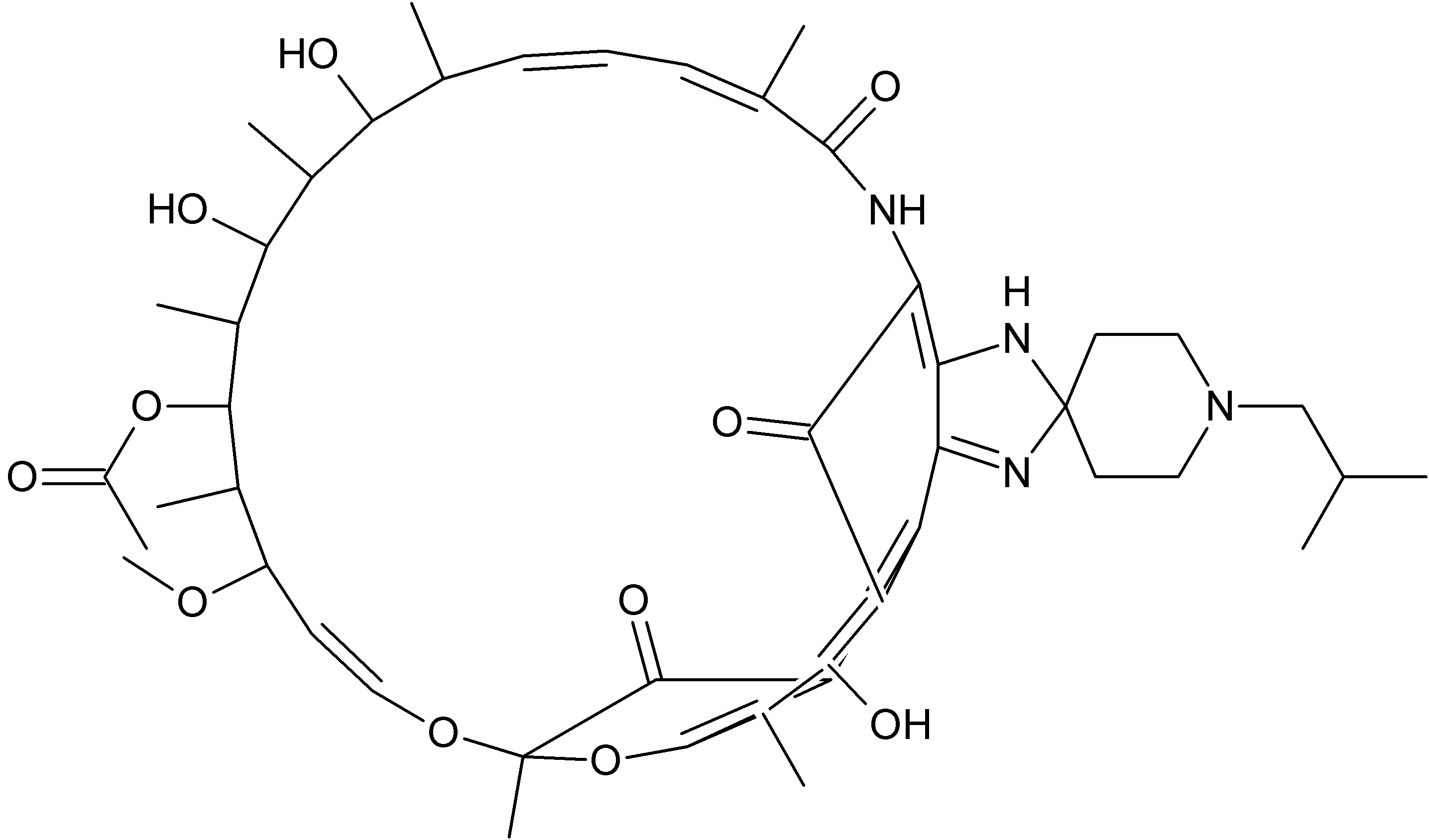
200 mg
Mycobutin® |
| sciroppo di ciliegia |
>>10ml |
|
30-40°C |
 |
| 56 |
 |
|
2419
|
|
 |
|
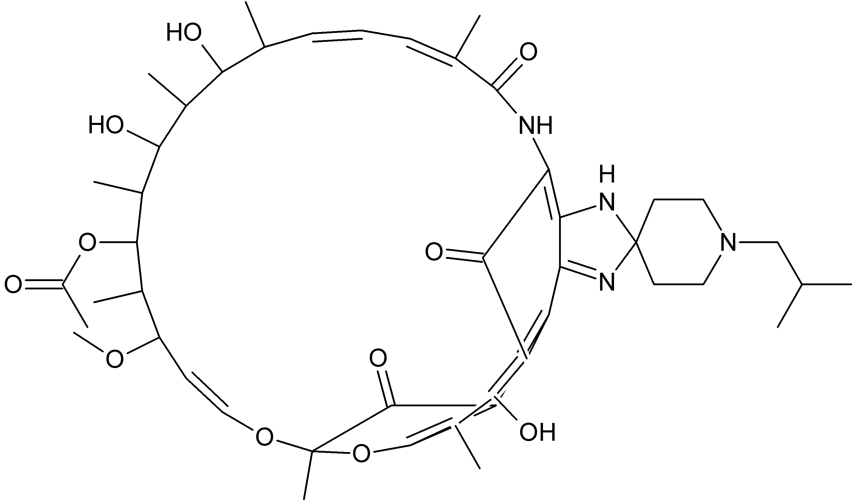
200 mg
Mycobutin® |
| OraPlus® / OraSweet® (1:1) |
>>10ml |
|
30-40°C |
 |
| 84 |
 |
|
2419
|
|
 |
|
200 mg
Mycobutin® |
| sciroppo di ciliegia |
>>10ml |
|
4°C |
 |
| 84 |
 |
|
2419
|
|
 |
|
200 mg
Mycobutin® |
| OraPlus® / OraSweet® (1:1) |
>>10ml |
|
4°C |
 |
| 84 |
 |
|
2419
|
|