Последно актуализиране :
27/01/2026
Антибиотик   Rifabutin  
Орален разтвор
Стабилност на лекарствени препарати Стабилност на смеси Фактори, повлияващи стабилността Съвместимост Библиография Pdf
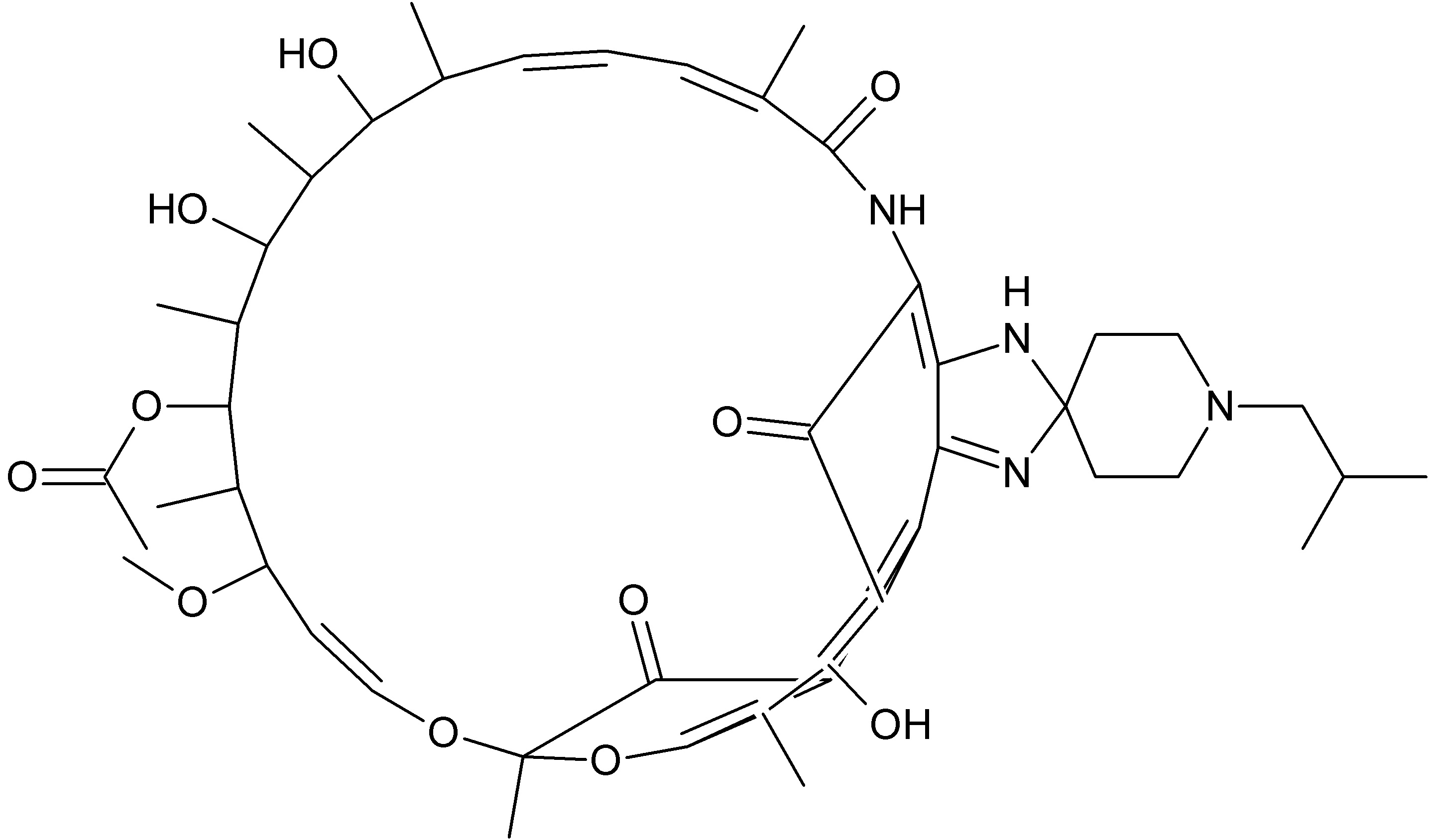
   Химична структура  

Орален разтвор
Стабилност на лекарствени препарати   Орален разтвор   Стабилност на лекарствени препарати : Rifabutin     
Контейнер Origine Помощно вещество Температура Съхранение Продължителност на стабилността Библиография
Пластмасова бутилка Капсула 200 mg
Mycobutin®
Черешов сироп >>10ml
25°C Не е уточнено
84 Ден
2419

Пластмасова бутилка Капсула 200 mg
Mycobutin®
Ораплюс® / Орасуит® (1:1) >>10ml
25°C Не е уточнено
84 Ден
2419

Пластмасова бутилка Капсула 200 mg
Mycobutin®
Черешов сироп >>10ml
30-40°C Не е уточнено
56 Ден
2419

Пластмасова бутилка Капсула 200 mg
Mycobutin®
Ораплюс® / Орасуит® (1:1) >>10ml
30-40°C Не е уточнено
84 Ден
2419

Пластмасова бутилка Капсула 200 mg
Mycobutin®
Черешов сироп >>10ml
4°C Не е уточнено
84 Ден
2419

Пластмасова бутилка Капсула 200 mg
Mycobutin®
Ораплюс® / Орасуит® (1:1) >>10ml
4°C Не е уточнено
84 Ден
2419


  Mentions Légales