Zadnji put ažurirano :
27/01/2026
antibiotik   Rifabutin  
oralna otopina
Stabilnost farmaceutskih pripravaka Stabilnost mješavine Stabilizacijski faktor Kompatibilnosti Bibliografija pdf
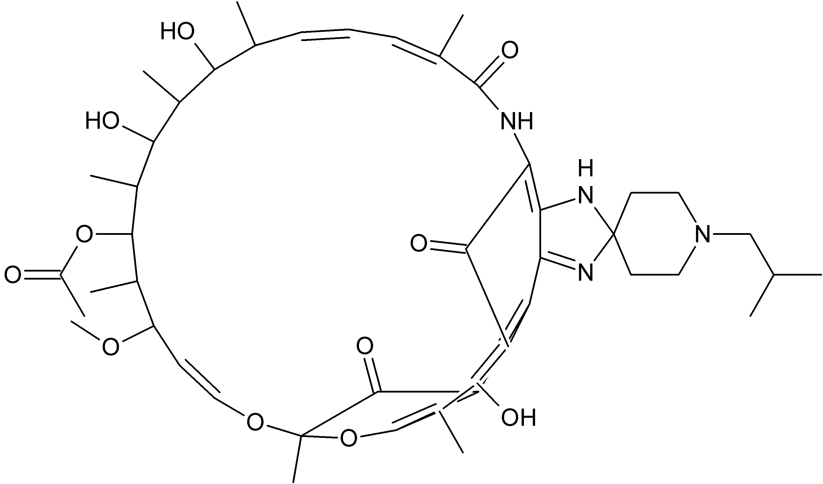
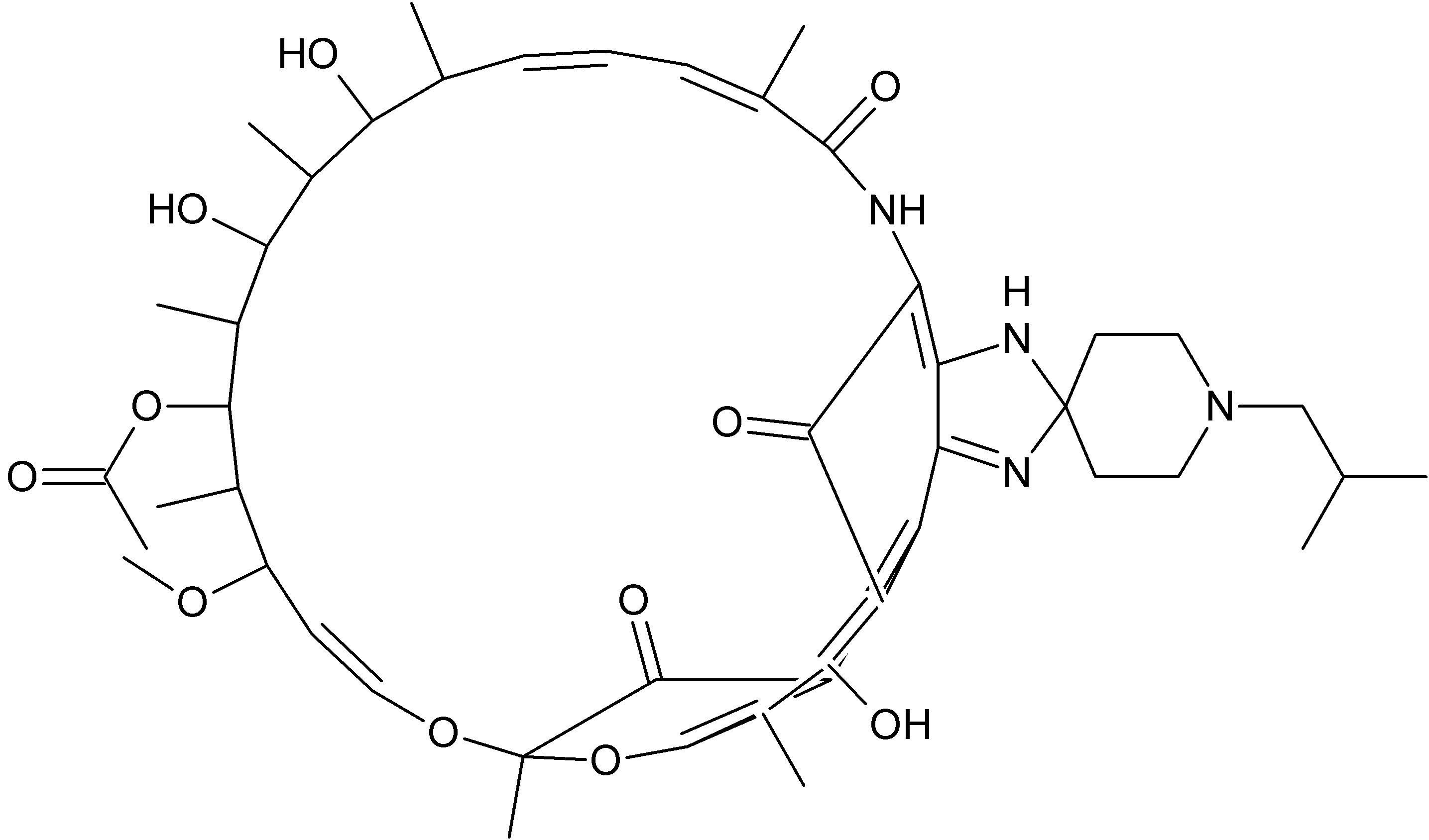
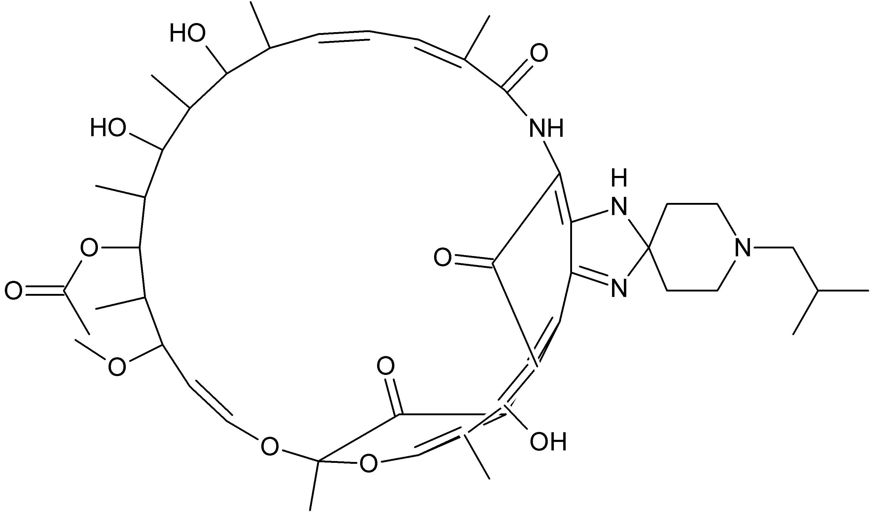
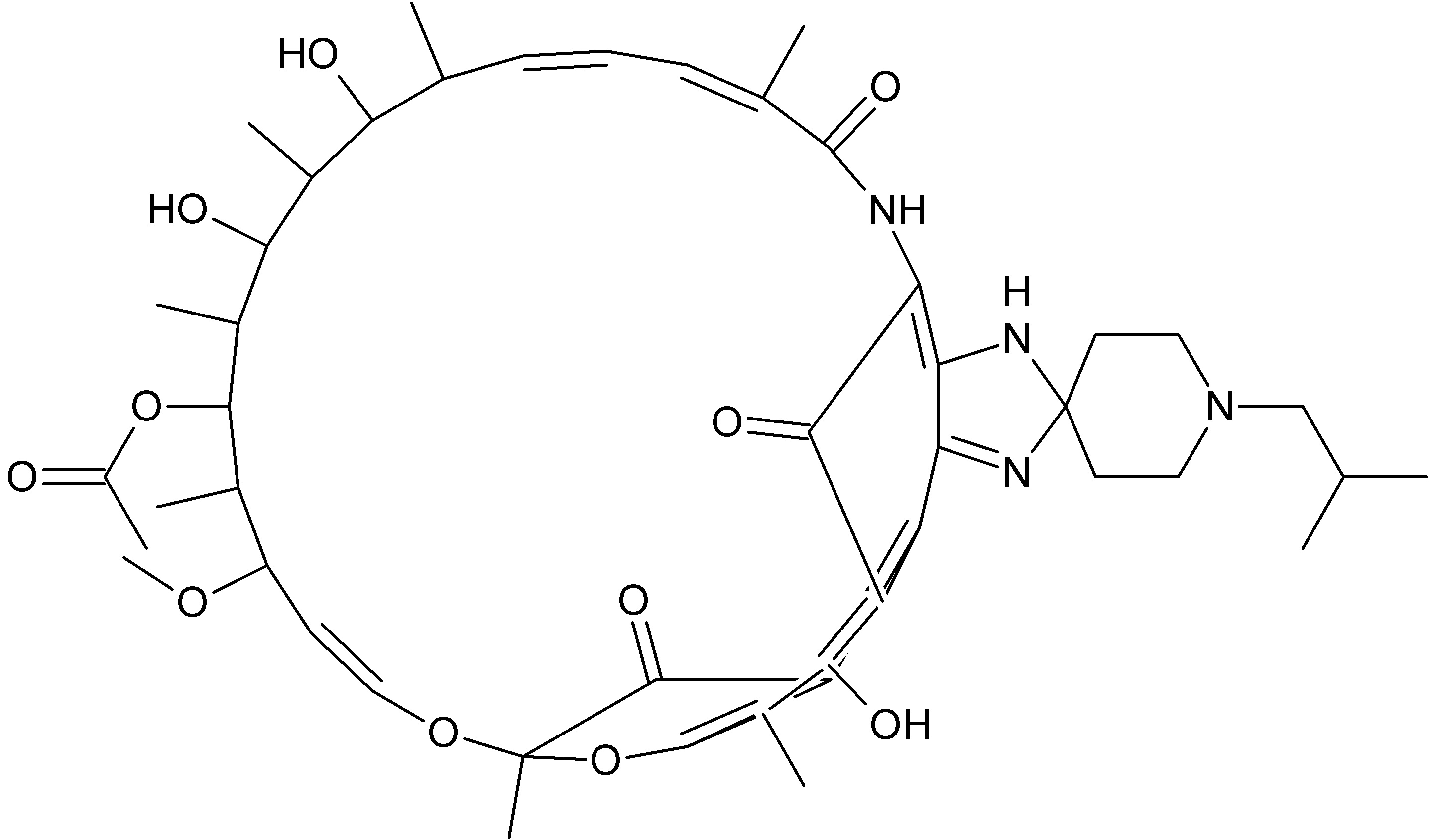
   Kemijska struktura  

oralna otopina
Stabilnost farmaceutskih pripravaka   oralna otopina     Stabilnost farmaceutskih pripravaka : Rifabutin     
Kontejner Origine pomoćna tvar temperatura Konzerviranje Trajanje stabilnosti Bibliografija
plastična boca kapsula 200 mg
Mycobutin®
sirup od trešnje >>10ml
25°C nespecifičan
84 dan
2419

plastična boca kapsula 200 mg
Mycobutin®
OraPlus® / OraSweet® (1:1) >>10ml
25°C nespecifičan
84 dan
2419

plastična boca kapsula 200 mg
Mycobutin®
sirup od trešnje >>10ml
30-40°C nespecifičan
56 dan
2419

plastična boca kapsula 200 mg
Mycobutin®
OraPlus® / OraSweet® (1:1) >>10ml
30-40°C nespecifičan
84 dan
2419

plastična boca kapsula 200 mg
Mycobutin®
sirup od trešnje >>10ml
4°C nespecifičan
84 dan
2419

plastična boca kapsula 200 mg
Mycobutin®
OraPlus® / OraSweet® (1:1) >>10ml
4°C nespecifičan
84 dan
2419


  Mentions Légales