viimane versioon :
27/01/2026
antibiootikum   Rifabutin  
suukaudne lahus
Stabiilsust ravimpreparaadid Stabiilsust mõjutavad tegurid stabiilsust mõjutavad faktorid Sobimatus Viited pdf
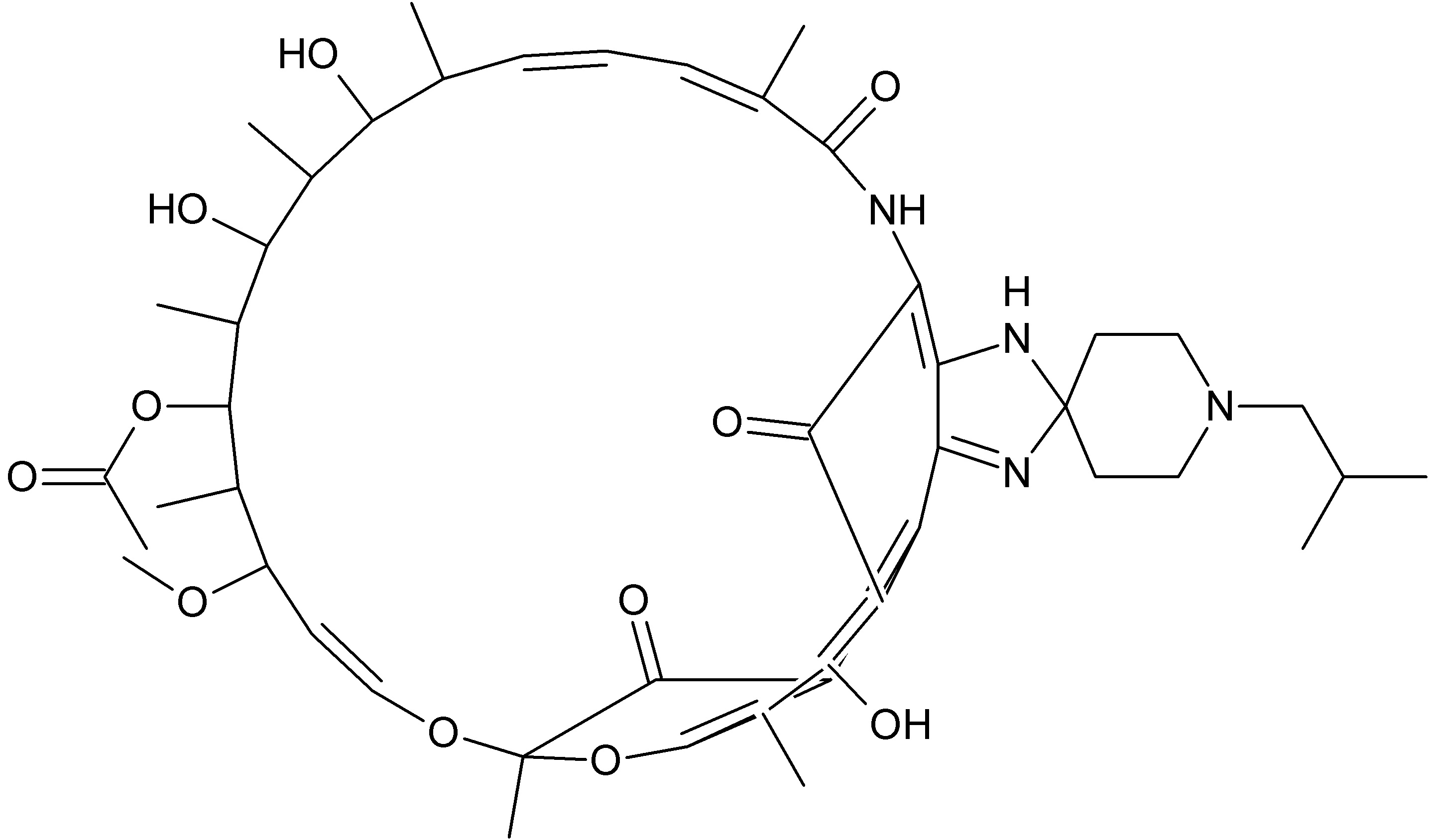
   keemiline struktuur  

suukaudne lahus
Stabiilsust ravimpreparaadid   suukaudne lahus   Stabiilsust ravimpreparaadid : Rifabutin     
konteiner Origine  abiaine temperatuur ladustamine Stabiilsuse kestus Viited
Plastikpudel Kapslid 200 mg
Mycobutin®
kirsi siirup >>10ml
25°C pole täpsustatud
84 päev
2419

Plastikpudel Kapslid 200 mg
Mycobutin®
OraPlus® / OraSweet® (1:1) >>10ml
25°C pole täpsustatud
84 päev
2419

Plastikpudel Kapslid 200 mg
Mycobutin®
kirsi siirup >>10ml
30-40°C pole täpsustatud
56 päev
2419

Plastikpudel Kapslid 200 mg
Mycobutin®
OraPlus® / OraSweet® (1:1) >>10ml
30-40°C pole täpsustatud
84 päev
2419

Plastikpudel Kapslid 200 mg
Mycobutin®
kirsi siirup >>10ml
4°C pole täpsustatud
84 päev
2419

Plastikpudel Kapslid 200 mg
Mycobutin®
OraPlus® / OraSweet® (1:1) >>10ml
4°C pole täpsustatud
84 päev
2419


  Mentions Légales