آخر تحديث :
27/01/2026
مضاد حيوي   Rifabutin  
عن طريق الفم
استقرار المستحضرات الصيدلانية استقرار مخاليط العوامل التي تؤثر على الاستقرار التوافق مراجع pdf
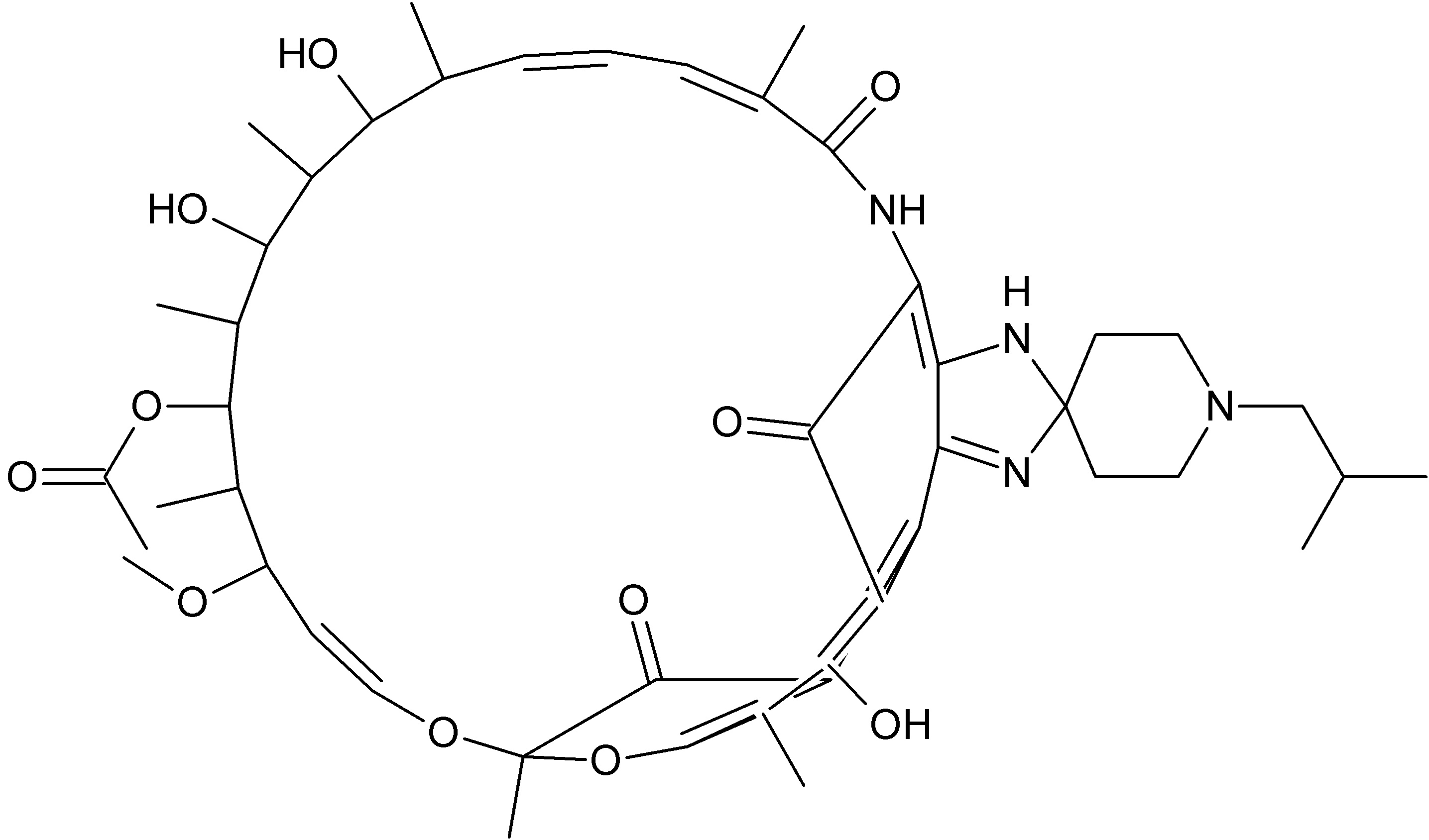
   التركيب الكيميائي  

عن طريق الفم
استقرار المستحضرات الصيدلانية   عن طريق الفم     استقرار المستحضرات الصيدلانية : Rifabutin     
حاوية Origine الاضافات درجة الحرارة تخزين مدة الاستقرار مراجع
زجاجة من البلاستيك كبسولات 200 mg
Mycobutin®
الكرز شراب >>10ml
25°C لم يتم تحديد
84 يوم
2419

زجاجة من البلاستيك كبسولات 200 mg
Mycobutin®
OraPlus® / OraSweet® (1:1) >>10ml
25°C لم يتم تحديد
84 يوم
2419

زجاجة من البلاستيك كبسولات 200 mg
Mycobutin®
الكرز شراب >>10ml
30-40°C لم يتم تحديد
56 يوم
2419

زجاجة من البلاستيك كبسولات 200 mg
Mycobutin®
OraPlus® / OraSweet® (1:1) >>10ml
30-40°C لم يتم تحديد
84 يوم
2419

زجاجة من البلاستيك كبسولات 200 mg
Mycobutin®
الكرز شراب >>10ml
4°C لم يتم تحديد
84 يوم
2419

زجاجة من البلاستيك كبسولات 200 mg
Mycobutin®
OraPlus® / OraSweet® (1:1) >>10ml
4°C لم يتم تحديد
84 يوم
2419


  Mentions Légales