Cập nhật lần cuối :
27/01/2026
Kháng sinh   Colistin mesilate sodium  
Khí dung
Dạng tiêm
Tính ổn định của các chế phẩm Độ ổn định khi trộn lẫn Những yếu tố ảnh hưởng đến độ ổn định Khả năng tương thích Tài liệu tham khảo Pdf
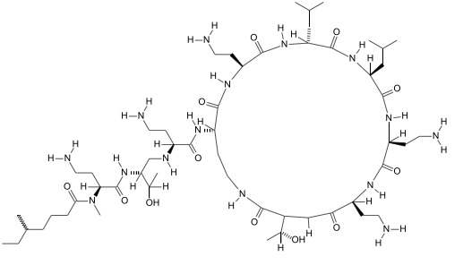
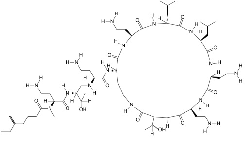
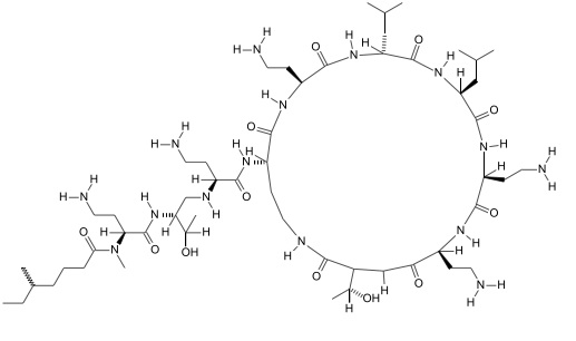
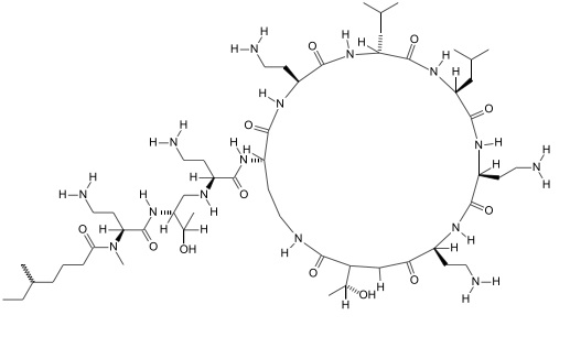
   Cấu trúc hóa học  

Khí dung
Tính ổn định của các chế phẩm   Khí dung   Tính ổn định của các chế phẩm : Colistin mesilate sodium     
Bao bì Nguyên bản Tá dược Nhiệt độ Bảo quản Thời gian ổn định Mục lục
Không rõ Lọ thuốc tiêm 80 mg
Colistin CF
NaCl 0,9% >> 3 mL
2-8°C Không rõ
48 Giờ
3334

Không rõ Lọ thuốc tiêm 80 mg
Colistin CF
NaCl 5,85 % >> 3 mL
2-8°C Không rõ
48 Giờ
3334


  Mentions Légales