Последно актуализиране :
27/01/2026
Антибиотик   Colistin mesilate sodium  
Аерозол
Инжекция/Инжекционен
Стабилност на лекарствени препарати Стабилност на смеси Фактори, повлияващи стабилността Съвместимост Библиография Pdf
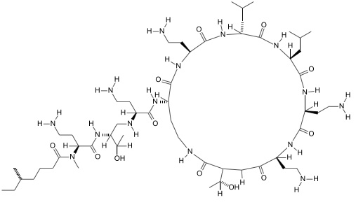
   Химична структура  

Аерозол
Стабилност на лекарствени препарати   Аерозол   Стабилност на лекарствени препарати : Colistin mesilate sodium     
Контейнер Origine Помощно вещество Температура Съхранение Продължителност на стабилността Библиография
Не е уточнено Фпакон 80 mg
Colistin CF
Натриев хлорид 0.9% >> 3 mL
2-8°C Не е уточнено
48 Час
3334

Не е уточнено Фпакон 80 mg
Colistin CF
Натриев хлорид 5,85 % >> 3 mL
2-8°C Не е уточнено
48 Час
3334


  Mentions Légales