Dernière mise à jour :
27/01/2026
Antibiotique   Colistin mesilate sodium  
Aérosol
injectable
Stabilité des préparations Stabilité en mélange Facteur influençant la stabilité Compatibilités Bibliographie pdf
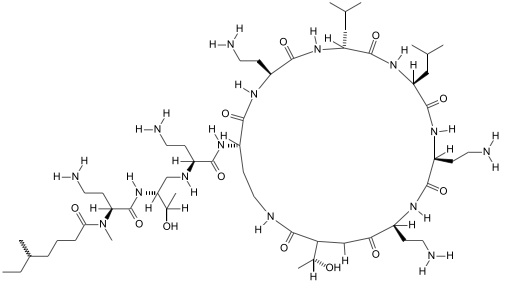
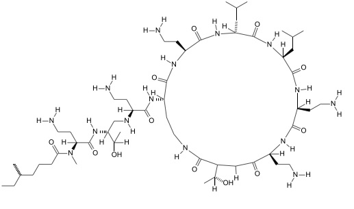
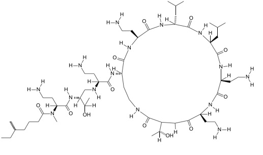
   Structure chimique  

Aérosol
Stabilité des préparations   Aérosol   Stabilité des préparations : Colistin mesilate sodium     
Contenant Origine Excipient Température Conservation Durée de stabilité Bibliographie
Non précisé Flacon injectable 80 mg
Colistin CF
NaCl 0.9% >> 3 mL
2-8°C Non précisée
48 Heure
3334

Non précisé Flacon injectable 80 mg
Colistin CF
NaCl 5,85 % >> 3 mL
2-8°C Non précisée
48 Heure
3334


  Mentions Légales