آخر تحديث :
27/01/2026
مضاد حيوي   Colistin mesilate sodium  
الأيروصولات
حقن
استقرار المستحضرات الصيدلانية استقرار مخاليط العوامل التي تؤثر على الاستقرار التوافق مراجع pdf
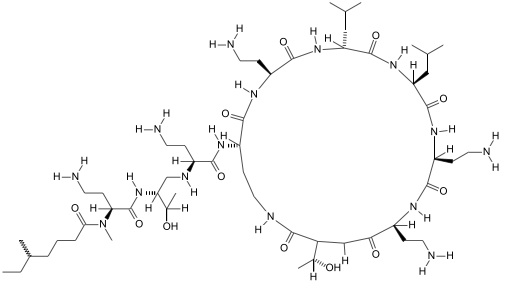
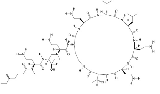
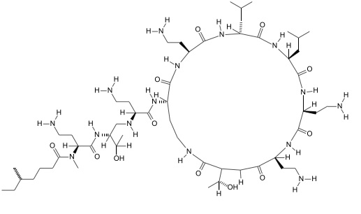
   التركيب الكيميائي  

الأيروصولات
استقرار المستحضرات الصيدلانية   الأيروصولات   استقرار المستحضرات الصيدلانية : Colistin mesilate sodium     
حاوية Origine الاضافات درجة الحرارة تخزين مدة الاستقرار مراجع
لم يتم تحديد زجاجة الدواء للحقن 80 mg
Colistin CF
كلوريد الصوديوم 0.9 >> 3 mL
2-8°C لم يتم تحديد
48 ساعة
3334

لم يتم تحديد زجاجة الدواء للحقن 80 mg
Colistin CF
كلوريد الصوديوم 5,85 % >> 3 mL
2-8°C لم يتم تحديد
48 ساعة
3334


  Mentions Légales