最新更新 :
27/04/2026
抗菌薬   Colistin mesilate sodium  
エアロゾル
注射薬
調剤時の安定性 混合時の安定性 安定性に影響する因子 互換性 引用文献 PDF
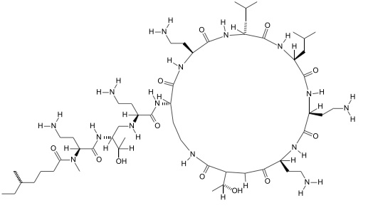
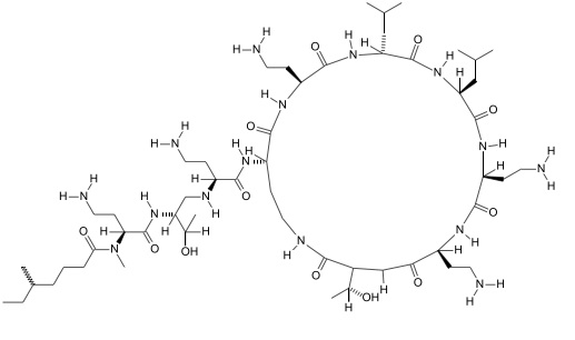
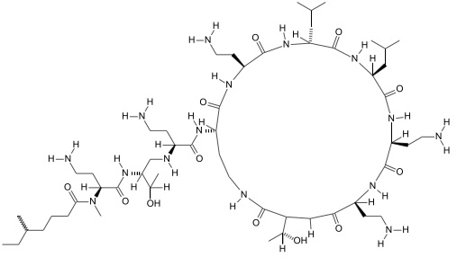
   化学構造  

エアロゾル
調剤時の安定性   エアロゾル   調剤時の安定性 : Colistin mesilate sodium     
容器 Origine 添加剤 温度 保管 安定期間 引用文献
指定なし 注射用瓶 80 mg
Colistin CF
NaCl 0.9% >> 3 mL
2-8°C 特記なし
48 時間
3334

指定なし 注射用瓶 80 mg
Colistin CF
NaCl 5,85 % >> 3 mL
2-8°C 特記なし
48 時間
3334


  Mentions Légales