Son güncelleme :
27/01/2026
Antibiyotik   Colistin mesilate sodium  
Aerosol
Enjeksiyon
Farmasötik preparatlar Kararlılığı Karışımlardaki stabilitesi Stabiliteyi etkileyen faktörler Uyumluluk Kaynaklar pdf
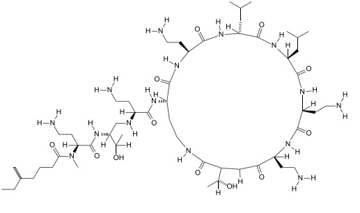
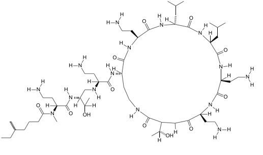
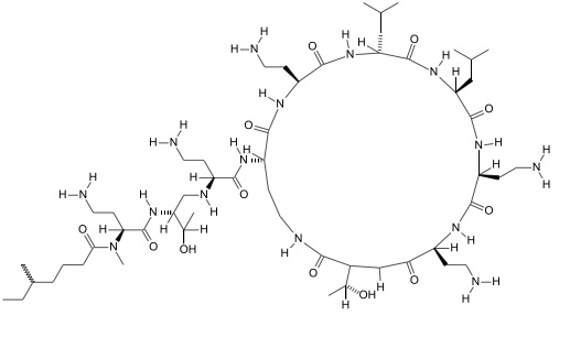
   Kimyasal yapı   

Aerosol
Farmasötik preparatlar Kararlılığı   Aerosol   Farmasötik preparatlar Kararlılığı : Colistin mesilate sodium     
Saklama kabı Origine yardımcı madde Isı Saklama    Stabilite süresi Kaynaklar
Belirtilmemiş Enjeksiyon için ilaç şişesi 80 mg
Colistin CF
% 0.9 NaCl >> 3 mL
2-8°C Belirtilmemiş
48 Zaman
3334

Belirtilmemiş Enjeksiyon için ilaç şişesi 80 mg
Colistin CF
NaCl 5,85 % >> 3 mL
2-8°C Belirtilmemiş
48 Zaman
3334


  Mentions Légales