Siste oppdatering :
27/01/2026
Antibiotika   Colistin mesilate sodium  
Aerosol
Injeksjon
Stabilitet av farmasøytiske preparater Stabilitet i blandinger Faktorer som påvirker stabiliteten Kompatibilitet Referanser pdf
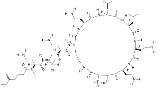
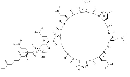
   Kjemisk struktur  

Aerosol
Stabilitet av farmasøytiske preparater   Aerosol   Stabilitet av farmasøytiske preparater : Colistin mesilate sodium     
Beholder Origine Hjelpestoff Temperatur Oppbevaring Varighet av stabilitet Referanser
Ikke angitt Hetteglass 80 mg
Colistin CF
NaCl 0.9% >> 3 mL
2-8°C Ikke angitt
48 Tid
3334

Ikke angitt Hetteglass 80 mg
Colistin CF
NaCl 5,85 % >> 3 mL
2-8°C Ikke angitt
48 Tid
3334


  Mentions Légales