Última actualización :
27/04/2026
Antibiótico   Colistin mesilate sodium  
Aerosol
Inyectables
La estabilidad de las preparaciones farmacéuticas Estabilidad en mezcla Factores que influyen sobre la estabilidad Compatibilidades Bibliografía pdf
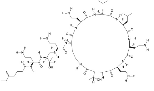
   Estructura química  

Aerosol
La estabilidad de las preparaciones farmacéuticas   Aerosol   La estabilidad de las preparaciones farmacéuticas : Colistin mesilate sodium     
Envase Origine Excipiente Temperatura Conservación Duración de la estabilidad Bibliografía
No precisado Frasco para medicamentos inyectables 80 mg
Colistin CF
NaCl 0.9% >> 3 mL
2-8°C No precisada
48 Hora
3334

No precisado Frasco para medicamentos inyectables 80 mg
Colistin CF
NaCl 5,85 % >> 3 mL
2-8°C No precisada
48 Hora
3334


  Mentions Légales