Poslední aktualizace :
27/04/2026
vėžio narkotikų   Dacarbazine  
Įpurškimas
Tirpalų stabilumas Mišinių stabilumas Stabilumą lemiantys veiksniai Suderinamumas Leidimo būdai Bibliografija pdf
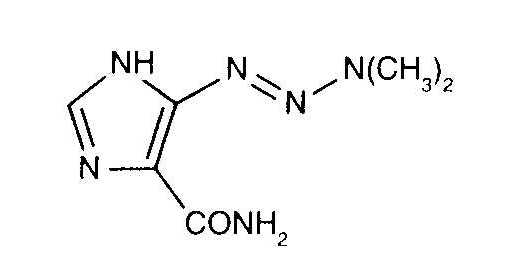
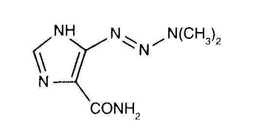
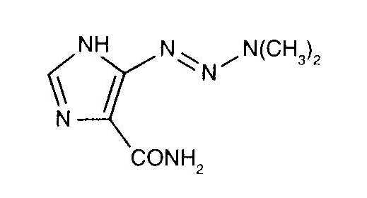
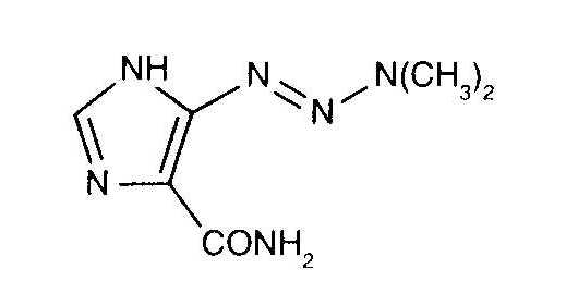
   Cheminė sandara  

Prekinis pavadinimas   Prekinis pavadinimas     

Trade names are indicative and excipients composition can be different depending on the country and manufacturers

Acocarb Meksikas
Celdaz Indija, Peru
Dabaz Brazilija, Indija
Dacarba Indija
Dacarbazin Austrija, Lenkija, Malaizija, Vengrija
Dacarbazina Argentina, Brazilija, Čilė, Ekvadoras, Ispanija, Italija, Kolumbija, Meksikas, Peru
Dacarbazine Airija, Australija, Belgija, Danija, Didžioji Britanija, Indija, Iranas, Jungtinės Amerikos Valstijos, Kanada, Naujojoje Zelandijoje, Švedija
Dacarex Indija
Dacarin Indija
Dacarpalm Peru
Dacarzine Indija
Dacin Slovėnija, Šveicarija
Dacmed Indija
Daracina Kolumbija
Deticene Graikija, Olandija, Portugalija, Prancūzija, Saudo Arabija
Detimedac Kolumbija, Rumunija, Tunisas, Vokietija
DTIC Austrija, Jungtinės Amerikos Valstijos, Naujojoje Zelandijoje
Fauldetic Portugalija
Oncocarbil Argentina, Ekvadoras, Peru
Tiferomed Meksikas
Bibliografija   Įpurškimas   Bibliografija : Dacarbazine  
tipas leidinys
3 Žurnalas Trissel LA, Martinez JF.
Compatibility of amifostine with selected drugs during simulated Y-site administration.
Am J Health-Syst Pharm 1995 ; 52: 2208-2212.
26 Žurnalas Stewart JT, Warren FW, King DT, Venkateshwaran TG, Ponder GW, Fox JL.
Stability of ondansetron hydrochloride, doxorubicin hydrochloride, and dacarbazine or vincristine sulfate in elastomeric portable infusion devices and polyvinyl chloride bags.
Am J Health-Syst Pharm 1997 ; 54: 915-920.
40 Žurnalas Dine T, Lebegue S, Benaji B, Gressier B, Segard V, Goudaliez F, Luyckx M, Brunet C, Mallevais ML, Kablan J, Cazin M, Cazin JC.
Stability and compatibility studies of four cytostatic agents (fluorouracil, dacarbazine, cyclophosphamide and ifosfamide) with PVC infusion bags.
Pharm Sci Communications 1994 ; 4: 97-101.
57 Žurnalas Mayron D, Gennaro AR.
Stability and compatibility of granisetron hydrochloride in IV solutions and oral liquids and during simulated Y-site injection with selected drugs.
Am J Health-Syst Pharm 1996 ; 53: 294-304.
81 Žurnalas Trissel LA, Martinez JF.
Compatibility of piperacillin sodium plus tazobactam with selected drugs during simulated Y-site injection.
Am J Hosp Pharm 1994 ; 51: 672-678.
84 Žurnalas Trissel LA, Martinez JF.
Visual, turbidimetric, and particle-content assessment of compatibility of vinorelbine tartrate with selected drugs during simulated Y-site injection.
Am J Hosp Pharm 1994 ; 51: 495-499.
99 Žurnalas Trissel LA, Martinez JF.
Compatibility of aztreonam with selected drugs during simulated Y-site administration.
Am J Health-Syst Pharm 1995 ; 52: 1086-1090.
169 Žurnalas Trissel LA, Martinez JF.
Physical compatibility of melphalan with selected drugs during simulated Y-site administration.
Am J Hosp Pharm 1993 ; 50: 2359-2363.
184 Žurnalas Stewart JT, Warren FW, King DT, Fox JL.
Stability of ondansetron hydrochloride and five antineoplasic medications.
Am J Health-Syst Pharm 1996 ; 53: 1297-1300.
244 Žurnalas Trissel LA, Martinez JF.
Compatibility of filgrastim with selected drugs during simulated Y-site administration.
Am J Hosp Pharm 1994 ; 51: 1907-1913.
248 Žurnalas Trissel LA, Martinez JF.
Turbidimetric assessment of the compatibility of taxol with 42 other drugs during simulated Y-site injection.
Am J Hosp Pharm 1993 ; 50: 300-304.
249 Žurnalas Trissel LA, Martinez JF.
Compatibility of thiotepa (lyophilized) with selected drugs during simulated Y-site administration.
Am J Health-Syst Pharm 1996 ; 53: 1041-1045.
251 Žurnalas Trissel LA, Gilbert DL, Martinez JF.
Compatibility of doxorubicin hydrochloride liposome injection with selected other drugs during simulated Y-site administration.
Am J Health-Syst Pharm 1997 ; 54: 2708-2713.
307 Žurnalas Trissel LA, Martinez JF.
Compatibility of allopurinol sodium with selected drugs during simulated Y-site administration.
Am J Hosp Pharm 1994 ; 51: 1792-1799.
334 Žurnalas Trissel LA, Tramonte SM, Grilley BJ.
Visual compatibility of ondansetron hydrochloride with selected drugs during simulated Y-site injection.
Am J Hosp Pharm 1991 ; 48: 988-992.
335 Žurnalas Trissel LA, Bready BB, Kwan JW, Santiago NM.
Visual compatibility of sargramostim with selected antineoplasic agents, anti-infectives, or other drugs during simulated Y-site injection.
Am J Hosp Pharm 1992 ; 49: 402-406.
353 Žurnalas Lunn G, Sansone EB.
Reductive destruction of dacarbazine, procarbazine hydrochloride, isoniazid, and iproniazid.
Am J Hosp Pharm 1987 ; 44: 2519-2524.
492 Žurnalas Trissel LA, Parks NPT, Santiago NM.
Visual compatibility of fludarabine phosphate with antineoplastic drugs, anti-infectives, and other selected drugs during simulated Y-site injection.
Am J Hosp Pharm 1991 ; 48: 2186-2189.
860 Žurnalas Nelson RW, Young R, Lamnin M.
Visual incompatibility of dacarbazine and heparin.
Am J Hosp Pharm 1987 ; 44: 2028.
905 Žurnalas Trissel LA, Martinez JF.
Screening teniposide for Y-site physical incompatibilities.
Hosp Pharm 1994 ; 29: 1010-1017.
1383 Žurnalas Stevens MFG, Peatey L.
Photodegradation of solutions of the antitumour drug DTIC.
J Pharm Pharmacol 1978 ; 30: 47P.
1410 Žurnalas Trissel LA, Martinez JF, Simmons M.
Compatibility of etoposide phosphate with selected drugs during simulated Y-site injection.
J Am Pharm Assoc 1999 ; 39: 141-145.
1501 Žurnalas Beitz C, Bertsch T, Hannak D, Schrammel W, Einberger C, Wehling M.
Compatibility of plastics with cytotoxic drug solutions - comparison of polyethylene with other container materials.
Int J Pharm 1999 ; 185: 113-121.
1635 Žurnalas El Aatmani M, Poujol S, Astre C, Malosse F, Pinguet F.
Stability of dacarbazine in amber glass vials and polyvinyl chloride bags.
Am J Health-Syst Pharm 2002 ; 59: 1351-1356.
2107 Žurnalas Trissel LA, Zhang Y, Xu QA.
Physical and chemical stability of palonosetron hydrochloride with dacarbazine and with methylprednisolone sodium succinate during simulated Y-site administration.
Int J Pharm Compound 2006 ; 10: 234-236.
3266 Laboratorija Lipomed Laboratories
Dacarbazine solutions: In Use stability of dacarbazine lipomed®
Lipomed 2011
3267 Laboratorija Lipomed Laboratories
Dacarbazine Lipomed - Summary of Product Characteristics
Lipomed 2011
3540 Laboratorija Heparin sodium - Summary of Product Characteristics.
Wockhardt 2010
3605 Laboratorija Dacarbazine (Dacarbazine Lipomed®) - Résumé des caractéristiques du produit
Lipomed 2010

  Mentions Légales