Zadnji put ažurirano :
27/04/2026
lijek protiv karcinoma   Dacarbazine  
injekcija
Stabilizacija rješenja Stabilnost mješavine Stabilizacijski faktor Kompatibilnosti način davanja lijeka Bibliografija pdf
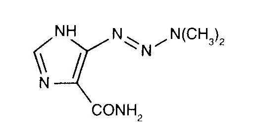
   Kemijska struktura  

Nekomercijalni   Nekomercijalni     

Zaštićeni nazivi su indikativni i sastav ekscipijensa može biti različit ovisno o državi i laboratorijima

Acocarb Meksiko
Celdaz Indija, Peru
Dabaz Indija, Brazil
Dacarba Indija
Dacarbazin Austrija, Madžarska, Malezija, Poljska
Dacarbazina Argentina, Brazil, Čile, Ekvador, Italija, Kolumbija, Meksiko, Peru, Španjolska
Dacarbazine Indija, Australija, Belgija, Danska, Iran, Irska, Kanada, novi Zeland, S A D, Švedska, Velika Britanija
Dacarex Indija
Dacarin Indija
Dacarpalm Peru
Dacarzine Indija
Dacin Slovenija, Švicarska
Dacmed Indija
Daracina Kolumbija
Deticene Francuska, Grčka, Nizozemska, Portugal, Saudijska Arabija
Detimedac Kolumbija, Njemačka, Rumunjska, Tunis
DTIC Austrija, novi Zeland, S A D
Fauldetic Portugal
Oncocarbil Argentina, Ekvador, Peru
Tiferomed Meksiko
Bibliografija   injekcija   Bibliografija : Dacarbazine  
Vrsta Publikacija
3 Časopis Trissel LA, Martinez JF.
Compatibility of amifostine with selected drugs during simulated Y-site administration.
Am J Health-Syst Pharm 1995 ; 52: 2208-2212.
26 Časopis Stewart JT, Warren FW, King DT, Venkateshwaran TG, Ponder GW, Fox JL.
Stability of ondansetron hydrochloride, doxorubicin hydrochloride, and dacarbazine or vincristine sulfate in elastomeric portable infusion devices and polyvinyl chloride bags.
Am J Health-Syst Pharm 1997 ; 54: 915-920.
40 Časopis Dine T, Lebegue S, Benaji B, Gressier B, Segard V, Goudaliez F, Luyckx M, Brunet C, Mallevais ML, Kablan J, Cazin M, Cazin JC.
Stability and compatibility studies of four cytostatic agents (fluorouracil, dacarbazine, cyclophosphamide and ifosfamide) with PVC infusion bags.
Pharm Sci Communications 1994 ; 4: 97-101.
57 Časopis Mayron D, Gennaro AR.
Stability and compatibility of granisetron hydrochloride in IV solutions and oral liquids and during simulated Y-site injection with selected drugs.
Am J Health-Syst Pharm 1996 ; 53: 294-304.
81 Časopis Trissel LA, Martinez JF.
Compatibility of piperacillin sodium plus tazobactam with selected drugs during simulated Y-site injection.
Am J Hosp Pharm 1994 ; 51: 672-678.
84 Časopis Trissel LA, Martinez JF.
Visual, turbidimetric, and particle-content assessment of compatibility of vinorelbine tartrate with selected drugs during simulated Y-site injection.
Am J Hosp Pharm 1994 ; 51: 495-499.
99 Časopis Trissel LA, Martinez JF.
Compatibility of aztreonam with selected drugs during simulated Y-site administration.
Am J Health-Syst Pharm 1995 ; 52: 1086-1090.
169 Časopis Trissel LA, Martinez JF.
Physical compatibility of melphalan with selected drugs during simulated Y-site administration.
Am J Hosp Pharm 1993 ; 50: 2359-2363.
184 Časopis Stewart JT, Warren FW, King DT, Fox JL.
Stability of ondansetron hydrochloride and five antineoplasic medications.
Am J Health-Syst Pharm 1996 ; 53: 1297-1300.
244 Časopis Trissel LA, Martinez JF.
Compatibility of filgrastim with selected drugs during simulated Y-site administration.
Am J Hosp Pharm 1994 ; 51: 1907-1913.
248 Časopis Trissel LA, Martinez JF.
Turbidimetric assessment of the compatibility of taxol with 42 other drugs during simulated Y-site injection.
Am J Hosp Pharm 1993 ; 50: 300-304.
249 Časopis Trissel LA, Martinez JF.
Compatibility of thiotepa (lyophilized) with selected drugs during simulated Y-site administration.
Am J Health-Syst Pharm 1996 ; 53: 1041-1045.
251 Časopis Trissel LA, Gilbert DL, Martinez JF.
Compatibility of doxorubicin hydrochloride liposome injection with selected other drugs during simulated Y-site administration.
Am J Health-Syst Pharm 1997 ; 54: 2708-2713.
307 Časopis Trissel LA, Martinez JF.
Compatibility of allopurinol sodium with selected drugs during simulated Y-site administration.
Am J Hosp Pharm 1994 ; 51: 1792-1799.
334 Časopis Trissel LA, Tramonte SM, Grilley BJ.
Visual compatibility of ondansetron hydrochloride with selected drugs during simulated Y-site injection.
Am J Hosp Pharm 1991 ; 48: 988-992.
335 Časopis Trissel LA, Bready BB, Kwan JW, Santiago NM.
Visual compatibility of sargramostim with selected antineoplasic agents, anti-infectives, or other drugs during simulated Y-site injection.
Am J Hosp Pharm 1992 ; 49: 402-406.
353 Časopis Lunn G, Sansone EB.
Reductive destruction of dacarbazine, procarbazine hydrochloride, isoniazid, and iproniazid.
Am J Hosp Pharm 1987 ; 44: 2519-2524.
492 Časopis Trissel LA, Parks NPT, Santiago NM.
Visual compatibility of fludarabine phosphate with antineoplastic drugs, anti-infectives, and other selected drugs during simulated Y-site injection.
Am J Hosp Pharm 1991 ; 48: 2186-2189.
860 Časopis Nelson RW, Young R, Lamnin M.
Visual incompatibility of dacarbazine and heparin.
Am J Hosp Pharm 1987 ; 44: 2028.
905 Časopis Trissel LA, Martinez JF.
Screening teniposide for Y-site physical incompatibilities.
Hosp Pharm 1994 ; 29: 1010-1017.
1383 Časopis Stevens MFG, Peatey L.
Photodegradation of solutions of the antitumour drug DTIC.
J Pharm Pharmacol 1978 ; 30: 47P.
1410 Časopis Trissel LA, Martinez JF, Simmons M.
Compatibility of etoposide phosphate with selected drugs during simulated Y-site injection.
J Am Pharm Assoc 1999 ; 39: 141-145.
1501 Časopis Beitz C, Bertsch T, Hannak D, Schrammel W, Einberger C, Wehling M.
Compatibility of plastics with cytotoxic drug solutions - comparison of polyethylene with other container materials.
Int J Pharm 1999 ; 185: 113-121.
1635 Časopis El Aatmani M, Poujol S, Astre C, Malosse F, Pinguet F.
Stability of dacarbazine in amber glass vials and polyvinyl chloride bags.
Am J Health-Syst Pharm 2002 ; 59: 1351-1356.
2107 Časopis Trissel LA, Zhang Y, Xu QA.
Physical and chemical stability of palonosetron hydrochloride with dacarbazine and with methylprednisolone sodium succinate during simulated Y-site administration.
Int J Pharm Compound 2006 ; 10: 234-236.
3266 Laboratorija Lipomed Laboratories
Dacarbazine solutions: In Use stability of dacarbazine lipomed®
Lipomed 2011
3267 Laboratorija Lipomed Laboratories
Dacarbazine Lipomed - Summary of Product Characteristics
Lipomed 2011
3540 Laboratorija Heparin sodium - Summary of Product Characteristics.
Wockhardt 2010
3605 Laboratorija Dacarbazine (Dacarbazine Lipomed®) - Résumé des caractéristiques du produit
Lipomed 2010

  Mentions Légales