Son güncelleme :
27/01/2026
kanser ilaç   Azacitidine  
Enjeksiyon
Çözeltilerin stabilitesi Karışımlardaki stabilitesi Stabiliteyi etkileyen faktörler Uyumluluk Uygulama yöntemi Kaynaklar pdf
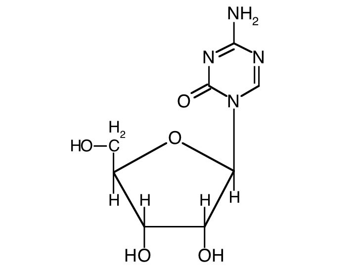
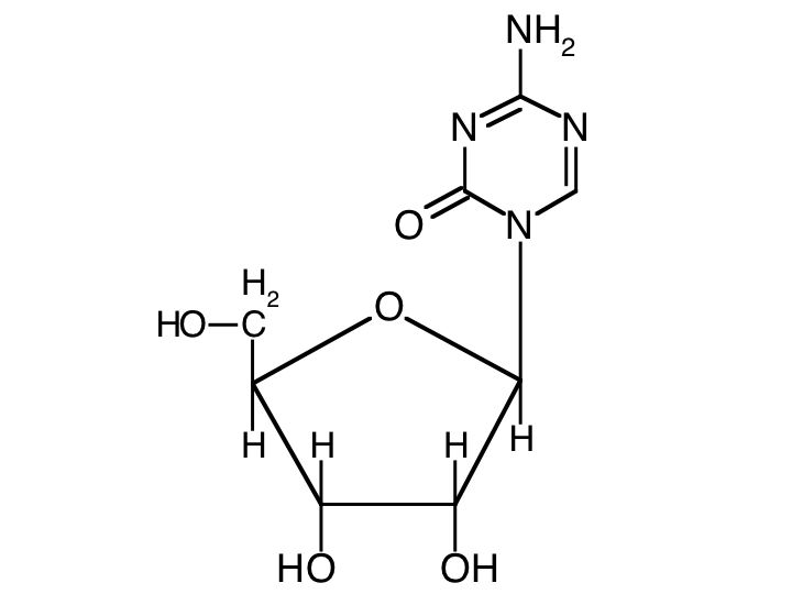
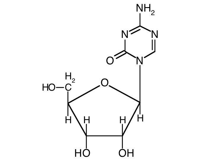
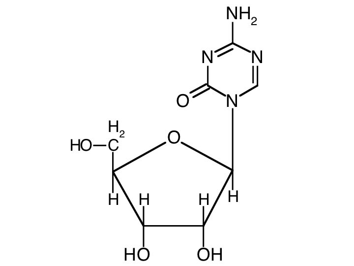
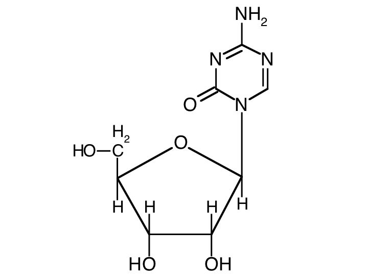
   Kimyasal yapı   

Ticari isim   Ticari isim     

Trade names are indicative and excipients composition can be different depending on the country and manufacturers

Amilix Arjantin
Arquimes Arjantin
Azacimyl Şili
Azacitidina Arjantin, Peru, Şili
Azacitidine Almanya, Amerika Birleşik Devletleri
Azacor Peru
Azadin Türkiye
Azamex Arjantin
Azanova Arjantin
Azateva Arjantin
Azida Türkiye
Azitech Arjantin
Citofin Arjantin
Iclacitidina Peru
Iterbil Arjantin
Maturus Arjantin
Mietozitidina Arjantin, Peru
Nimodac Arjantin
Remitiva Şili
Tazadir Arjantin
Vidaza Almanya, Amerika Birleşik Devletleri, Arjantin, Avustralya, Belçika, Brezilya, Büyük Britanya, Finlandiya, Fransa, Hırvatistan, İspanya, İsveç, İsviçre, İtalya, İzlanda, Japonya, Kanada, Kolombiya, Lüksemburg, Macaristan, Malezya, Meksika, Norveç, Peru, Romanya, Şili, Slovenya, Tunus, Türkiye, yeni Zelanda
Zacidonel Meksika
Zylatadina Arjantin

Stabiliteyi etkileyen faktörler    Enjeksiyon    Stabiliteyi etkileyen faktörler : Azacitidine        

  Mentions Légales