viimane versioon :
27/01/2026
vähiravimite   Azacitidine  
Süsteravim
Stabiilsus lahustes Stabiilsust mõjutavad tegurid stabiilsust mõjutavad faktorid Sobimatus Manustamis viis Viited pdf
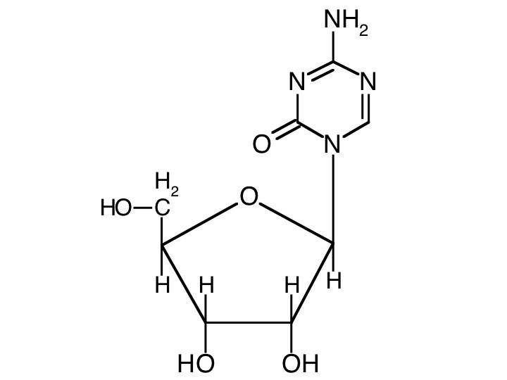
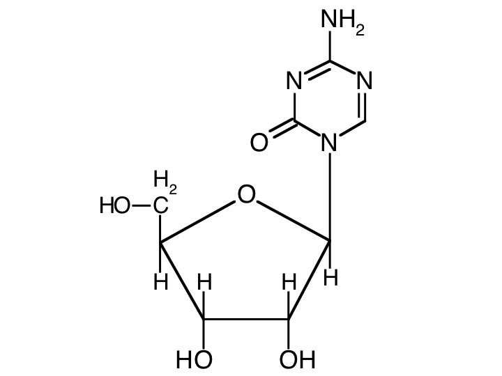
   keemiline struktuur  

Kaubanduslikud nimed erinevates maades   Kaubanduslikud nimed erinevates maades     

Preparaatide nimed on näitlikud ja abianete sisaldus võib erineda sõltuvalt riigist ja laborist

Amilix Argentiina
Arquimes Argentiina
Azacimyl Tšiili
Azacitidina Argentiina, Maroko, Tšiili
Azacitidine Ameerika ühendriigid, Saksamaa
Azacor Maroko
Azadin Türgi
Azamex Argentiina
Azanova Argentiina
Azateva Argentiina
Azida Türgi
Azitech Argentiina
Citofin Argentiina
Iclacitidina Maroko
Iterbil Argentiina
Maturus Argentiina
Mietozitidina Argentiina, Maroko
Nimodac Argentiina
Remitiva Tšiili
Tazadir Argentiina
Vidaza Ameerika ühendriigid, Argentiina, Austraalia, Belgia, Brasiilia, Hispaania, Horvaatia, Island, Itaalia, Jaapan, Kanada, Kolumbia, Luksemburg, Malaisia, Maroko, Mehhiko, Norra, Prantsusmaa, Rootsi, Rumeenia, Saksamaa, Sloveenia, Soome, Suurbritannia, Sveits, Tšiili, Tuneesia, Türgi, Ungari, uus-Meremaa
Zacidonel Mehhiko
Zylatadina Argentiina

stabiilsust mõjutavad faktorid   Süsteravim   stabiilsust mõjutavad faktorid : Azacitidine        

  Mentions Légales