Laatste update :
27/01/2026
geneesmiddel tegen kanker   Azacitidine  
injecteerbaar geneesmiddel
Stabiliteit in oplossing Stabiliteit in mengsels Factoren die de stabiliteit beïnvloeden Verenigbaarheden Toedieningswijze Literatuur pdf
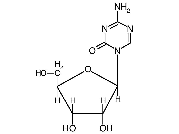
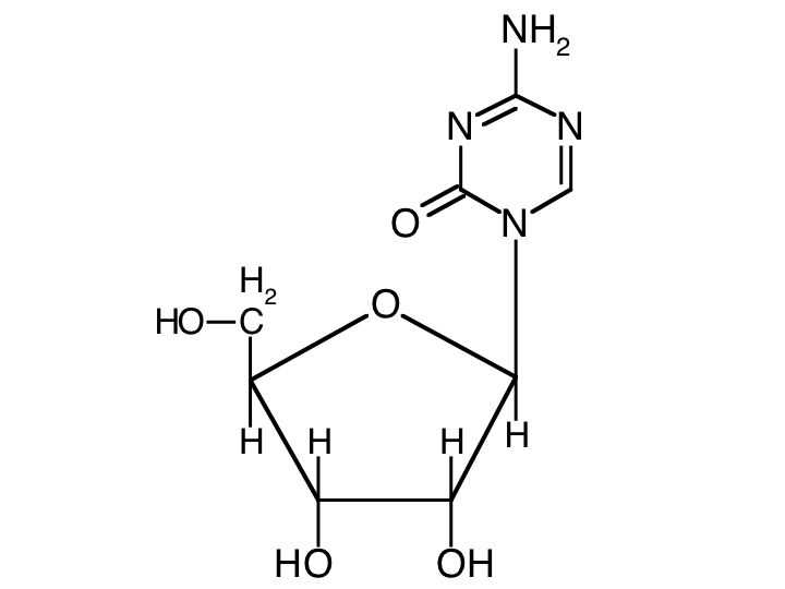
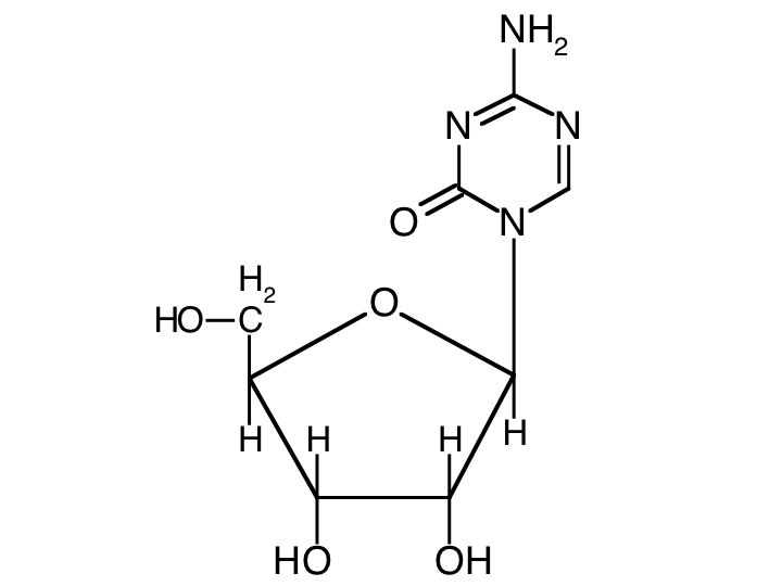
   Molecuulstructuur  

Merknamen in verschillende landen   Merknamen in verschillende landen     

Handelsnamen zijn slechts een indicatie; de samenstelling van hulpstoffen kan per land variëren afhankelijk van de fabrikant

Amilix Argentinië
Arquimes Argentinië
Azacimyl Chili
Azacitidina Argentinië, Chili, Peru
Azacitidine Duitsland, USA
Azacor Peru
Azadin Turkije
Azamex Argentinië
Azanova Argentinië
Azateva Argentinië
Azida Turkije
Azitech Argentinië
Citofin Argentinië
Iclacitidina Peru
Iterbil Argentinië
Maturus Argentinië
Mietozitidina Argentinië, Peru
Nimodac Argentinië
Remitiva Chili
Tazadir Argentinië
Vidaza Argentinië, Australië, België, Brazilië, Canada, Chili, Colombia, Duitsland, Finland, Frankrijk, Groot Britannië, Hongarije, IJsland, Italië, Japan, Kroatië, Luxemburg, Maleisië, Mexico, nieuw Zeeland, Noorwegen, Peru, Roemenië, Slovenië, Spanje, Tunisie, Turkije, USA, Zweden, Zwitserland
Zacidonel Mexico
Zylatadina Argentinië

Factoren die de stabiliteit beïnvloeden   injecteerbaar geneesmiddel   Factoren die de stabiliteit beïnvloeden : Azacitidine        

  Mentions Légales