Τελευταία ενημέρωση :
27/01/2026
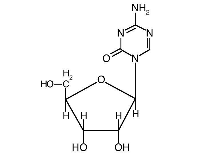
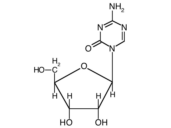
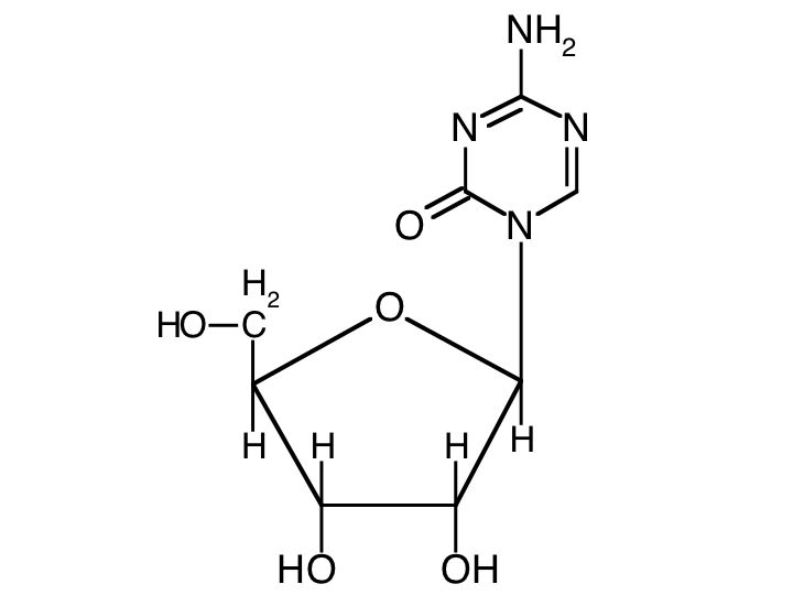
φάρμακο κατά του καρκίνου   Azacitidine  
Ενέσιμο
Σταθερότητα διαλυμάτων Σταθερότητα σε μίγματα Παράγοντας που επηρεάζει τη σταθερότητα Συμβατότητες Τρόπος χορήγησης Βιβλιογραφία pdf
   χημική δομή  

Εμπορική ονομασία   Εμπορική ονομασία     

Οι εμπορικές ονομασίες είναι ενδεικτικές και η σύνθεση των εκδόχων μπορεί να διαφέρει ανάλογα με τη χώρα και τα εργαστήρια

Amilix Αργεντινή
Arquimes Αργεντινή
Azacimyl Χιλή
Azacitidina Αργεντινή, Περού, Χιλή
Azacitidine Γερμανία, Η.Π.Α.
Azacor Περού
Azadin Τουρκία
Azamex Αργεντινή
Azanova Αργεντινή
Azateva Αργεντινή
Azida Τουρκία
Azitech Αργεντινή
Citofin Αργεντινή
Iclacitidina Περού
Iterbil Αργεντινή
Maturus Αργεντινή
Mietozitidina Αργεντινή, Περού
Nimodac Αργεντινή
Remitiva Χιλή
Tazadir Αργεντινή
Vidaza Αργεντινή, Αυστραλία, Βέλγιο, Βραζιλία, Γαλλία, Γερμανία, Ελβετία, Η.Π.Α., Ιαπωνία, Ισλανδία, Ισπανία, Ιταλία, Καναδάς, Κολομβία, Κροατία, Λουξεμβούργο, Μαλαισία, Μεγάλη Βρετανία, Μεξικό, νέα Ζηλανδία, Νορβηγία, Ουγγαρία, Περού, Ρουμανία, Σλοβενία, Σουηδία, Τουρκία, Τυνησία, Φινλανδία, Χιλή
Zacidonel Μεξικό
Zylatadina Αργεντινή

Παράγοντας που επηρεάζει τη σταθερότητα   Ενέσιμο   Παράγοντας που επηρεάζει τη σταθερότητα : Azacitidine        

  Mentions Légales