Last update :
27/01/2026
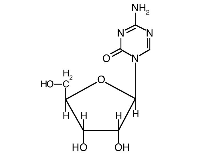
Anticancer drug   Azacitidine  
injection
Stability in solutions Stability of mixtures Factors which affect stability Compatibility Route of administration References pdf
   Chemical structure  

Tradename   Tradename     

Trade names are indicative and excipients composition can be different depending on the country and manufacturers

Amilix Argentina
Arquimes Argentina
Azacimyl Chile
Azacitidina Argentina, Chile, Peru
Azacitidine Germany, United States of America
Azacor Peru
Azadin Turkey
Azamex Argentina
Azanova Argentina
Azateva Argentina
Azida Turkey
Azitech Argentina
Citofin Argentina
Iclacitidina Peru
Iterbil Argentina
Maturus Argentina
Mietozitidina Argentina, Peru
Nimodac Argentina
Remitiva Chile
Tazadir Argentina
Vidaza Argentina, Australia, Belgium, Brazil, Canada, Chile, Colombia, Croatia, Finland, France, Germany, Great Britain, Hungary, Iceland, Italy, Japan, Luxembourg, Malaysia, Mexico, New Zealand, Norway, Peru, Romania, Slovenia, Spain, Sweden, Switzerland, Tunisia, Turkey, United States of America
Zacidonel Mexico
Zylatadina Argentina

Factors which affect stability   injection   Factors which affect stability : Azacitidine        

  Mentions Légales