Dernière mise à jour :
27/01/2026
Anticancéreux   Azacitidine  
injectable
Stabilité des solutions Stabilité en mélange Facteur influençant la stabilité Compatibilités Voie d’administration Bibliographie pdf
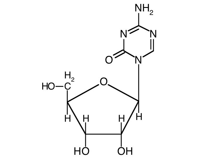
   Structure chimique  

Noms commerciaux   Noms commerciaux     

Les noms commerciaux sont donnés à titre indicatif et la composition en excipients peut être différente selon les pays et selon les laboratoires

Amilix Argentine
Arquimes Argentine
Azacimyl Chili
Azacitidina Argentine, Chili, Pérou
Azacitidine Allemagne, Etats Unis d’Amérique
Azacor Pérou
Azadin Turquie
Azamex Argentine
Azanova Argentine
Azateva Argentine
Azida Turquie
Azitech Argentine
Citofin Argentine
Iclacitidina Pérou
Iterbil Argentine
Maturus Argentine
Mietozitidina Argentine, Pérou
Nimodac Argentine
Remitiva Chili
Tazadir Argentine
Vidaza Allemagne, Argentine, Australie, Belgique, Brésil, Canada, Chili, Colombie, Croatie, Espagne, Etats Unis d’Amérique, Finlande, France, Grande Bretagne, Hongrie, Islande, Italie, Japon, Luxembourg, Malaisie, Mexique, Norvège, Nouvelle Zélande, Pérou, Roumanie, Slovénie, Suède, Suisse, Tunisie, Turquie
Zacidonel Mexique
Zylatadina Argentine

Facteur influençant la stabilité   injectable   Facteur influençant la stabilité : Azacitidine        

  Mentions Légales