Ultimele actualizari :
27/01/2026
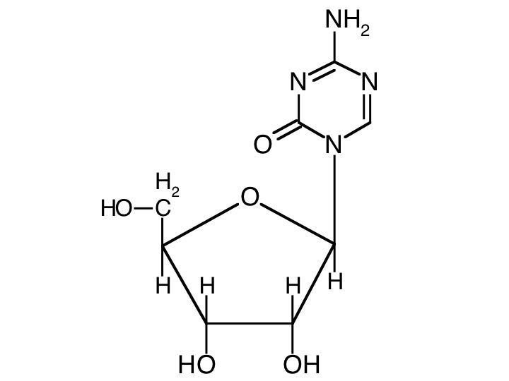
Citostatic   Azacitidine  
Injectabil
Stabilitatea in solutie Stabilitatea in amestec Factorii care influenteaza stabilitatea Compatibilitate Microunde Bibliografie pdf
   Formula chimica  

Denumirea comerciala   Denumirea comerciala     

Trade names are indicative and excipients composition can be different depending on the country and manufacturers

Amilix Argentina
Arquimes Argentina
Azacimyl Chilli
Azacitidina Argentina, Chilli, Peru
Azacitidine Germania, SUA
Azacor Peru
Azadin Turcia
Azamex Argentina
Azanova Argentina
Azateva Argentina
Azida Turcia
Azitech Argentina
Citofin Argentina
Iclacitidina Peru
Iterbil Argentina
Maturus Argentina
Mietozitidina Argentina, Peru
Nimodac Argentina
Remitiva Chilli
Tazadir Argentina
Vidaza Argentina, Australia, Belgia, Brazilia, Canada, Chilli, Columbia, Croatia, Elvetia, Finlanda, Franta, Germania, Islanda, Italia, Japonia, Luxemburg, Malaezia, Marea Britanie, Mexic, Norvegia, noua Zeelandă, Peru, Romania, Slovenia, Spania, SUA, Suedia, Tunisia, Turcia, Ungaria
Zacidonel Mexic
Zylatadina Argentina

Factorii care influenteaza stabilitatea   Injectabil   Factorii care influenteaza stabilitatea : Azacitidine        

  Mentions Légales