Senaste uppdateringen :
18/03/2026
Antibiotikum   Colistin mesilate sodium  
injektion
Aerosol
Lösningars stabilitet Stabilitet i blandningar Faktorer som påverkar stabiliteten Kompatibilitet Administreringssätt Hänvisningar pdf
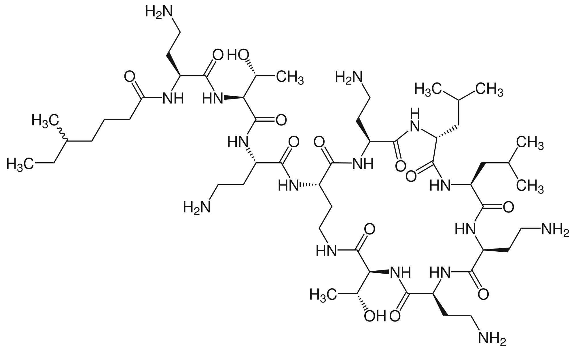
   Molekylstruktur  

Varunamn   Varunamn     

Angivna handelsnamn på läkemedel är enbart vägledande då formulering inklusive hjälpämnen kan variera mellan länder och tillverkare

Alficetin Argentina
Colimicina Italien
Colimycin Danmark, Norge, Turkiet
Colimycine Frankrike, Luxemburg, Marocko, Nederländerna, Tunisien
Colismet Peru
Colistimethate Förenta Staterna, Frankrike, Kanada, Storbritannien
Colistin Grekland, nya Zeeland, Österrike, Polen, Tyskland
Colistina Argentina, Chile, Portugal
Colistineb Belgien
Colistyn Argentina
Colixin Slovenien
Colomycin Förenta Staterna, Irland, Kanada, Malaysia, Storbritannien
Dicupal Chile
Elistin Peru
Kolisod Turkiet
Nolisin
Promixin Irland, Norge, Storbritannien, Tyskland
Toliscrin Argentina
Lösningars stabilitet   injektion   Lösningars stabilitet : Colistin mesilate sodium     
Behållare Lösningsmedel Koncentration Temperatur Förvaring Stabilitets varaktighet Hänvisningar
Glas Vatten för injektion 200 mg/ml 25°C Skyddas från ljus
7 Dag
2285
Evidensnivå D

Glas Vatten för injektion 200 mg/ml 4°C Skyddas från ljus
7 Dag
2285
Evidensnivå D

Glas Vatten för injektion 75 mg/ml -20°C Skyddas från ljus
24 Timma
3360
Evidensnivå B

Glas Vatten för injektion 75 mg/ml 21°C Ej angiven
24 Timma
3360
Evidensnivå B

Glas Vatten för injektion 75 mg/ml 4°C Ej angiven
24 Timma
3360
Evidensnivå B

Polyvinylklorid Natriumklorid 0,9 % 4 mg/ml 4°C Skyddas från ljus
48 Timma
2285
Evidensnivå D

Polyvinylklorid Glukos 5 % 4 mg/ml 4°C Skyddas från ljus
48 Timma
2285
Evidensnivå D

Polyolefin Natriumklorid 0,9 % 1,6 mg/ml 2-8°C Skyddas från ljus
7 Dag
4178
Evidensnivå B

Polyolefin Natriumklorid 0,9 % 1,6 mg/ml 20-24°C Med eller utan ljus
1 Dag
4178
Evidensnivå B

Polyisopren elastomer Natriumklorid 0,9 % 0,8 & 2,4 mg/ml 2-8°C Skyddas från ljus
7 Dag
4178
Evidensnivå B

Polyisopren elastomer Natriumklorid 0,9 % 0,8 & 2,4 mg/ml 20-24°C Med eller utan ljus
1 Dag
4178
Evidensnivå B

Silikonelastomer Natriumklorid 0,9 % 0,8 mg/ml 4°C Ej angiven
3 Dag
2783
Evidensnivå A


  Mentions Légales