Последно актуализиране :
27/04/2026
Антибиотик   Colistin mesilate sodium  
Инжекция/Инжекционен
Аерозол
Стабилност на разтвори Стабилност на смеси Фактори, повлияващи стабилността Съвместимост Път на въвеждане Библиография Pdf
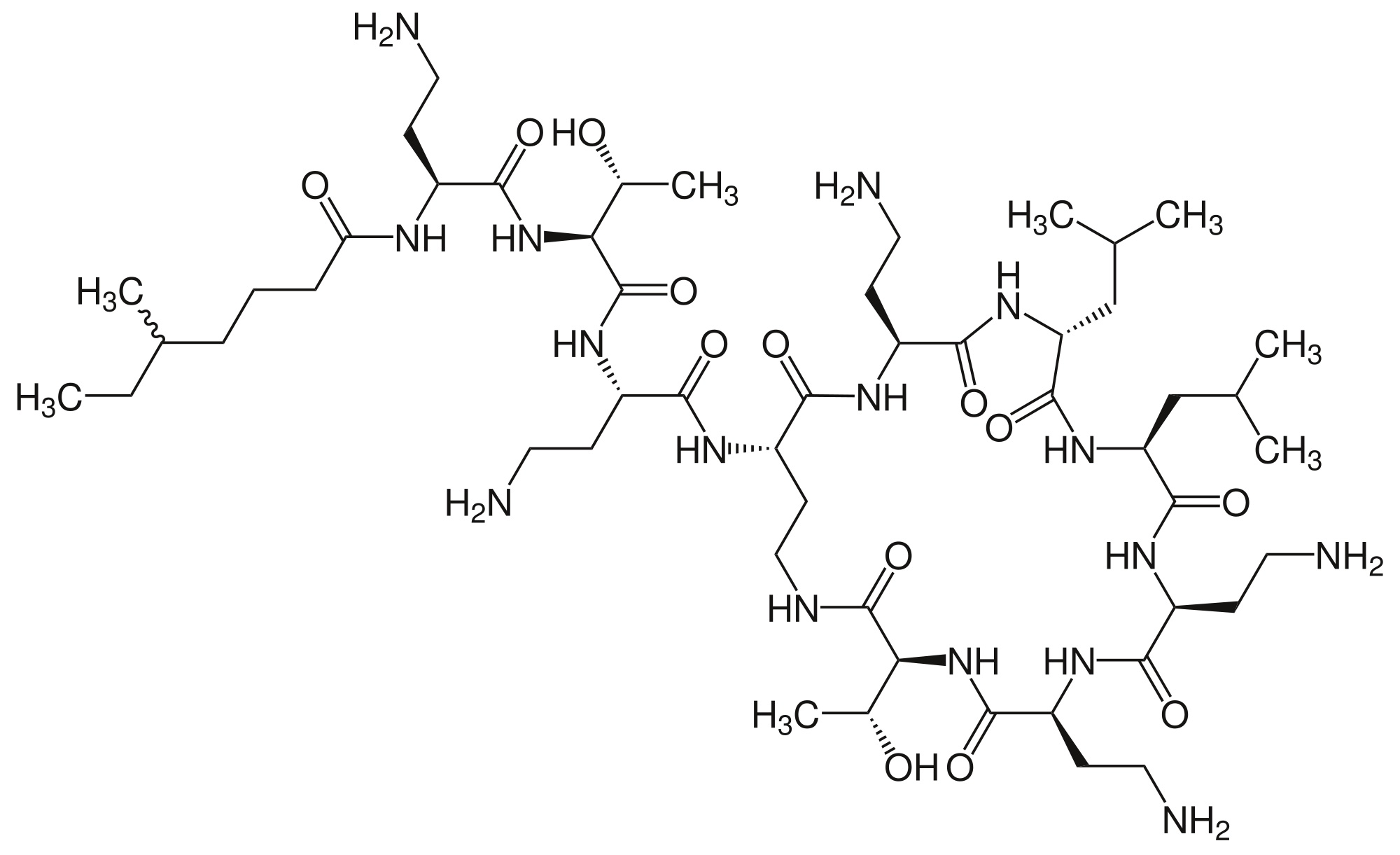
   Химична структура  

Търговско наименование   Търговско наименование     

Търговските имена са примерни и съставът на помощните вещества може да бъде различен в зависимост от държавата и лабораториите

Alficetin Аржентина
Colimicina Италия
Colimycin Дания, Норвегия, Турция
Colimycine Люксенбург, Мароко, Тунис, Франция, Холандия
Colismet Перу
Colistimethate Великобритания, Канада, Съединени Американски щати / САЩ, Франция
Colistin Австрия, Германия, Гърция, нова Зеландия, Полша
Colistina Аржентина, Португалия, Чили
Colistineb Белгия
Colistyn Аржентина
Colixin Словения
Colomycin Великобритания, Ирландия, Канада, Малайзия, Съединени Американски щати / САЩ
Dicupal Чили
Elistin Перу
Kolisod Турция
Nolisin
Promixin Великобритания, Германия, Ирландия, Норвегия
Toliscrin Аржентина
Стабилност на разтвори   Инжекция/Инжекционен   Стабилност на разтвори : Colistin mesilate sodium     
Контейнер Разтворител Концентрация Температура Съхранение Продължителност на стабилността Библиография
Стъкло Вода за инжекции 200 mg/ml 25°C Защита от светлина
7 Ден
2285
Степен на доказаност D

Стъкло Вода за инжекции 200 mg/ml 4°C Защита от светлина
7 Ден
2285
Степен на доказаност D

Стъкло Вода за инжекции 75 mg/ml -20°C Защита от светлина
24 Час
3360
Степен на доказаност B

Стъкло Вода за инжекции 75 mg/ml 21°C Не е уточнено
24 Час
3360
Степен на доказаност B

Стъкло Вода за инжекции 75 mg/ml 4°C Не е уточнено
24 Час
3360
Степен на доказаност B

Поливинил хлорид Sodium chloride 0,9% 4 mg/ml 4°C Защита от светлина
48 Час
2285
Степен на доказаност D

Поливинил хлорид Glucose 5% 4 mg/ml 4°C Защита от светлина
48 Час
2285
Степен на доказаност D

Полиолефин Sodium chloride 0,9% 1,6 mg/ml 2-8°C Защита от светлина
7 Ден
4178
Степен на доказаност B

Полиолефин Sodium chloride 0,9% 1,6 mg/ml 20-24°C С или без светлина
1 Ден
4178
Степен на доказаност B

Полиизопренов еластомер Sodium chloride 0,9% 0,8 & 2,4 mg/ml 2-8°C Защита от светлина
7 Ден
4178
Степен на доказаност B

Полиизопренов еластомер Sodium chloride 0,9% 0,8 & 2,4 mg/ml 20-24°C С или без светлина
1 Ден
4178
Степен на доказаност B

Силиконов еластомер Sodium chloride 0,9% 0,8 mg/ml 4°C Не е уточнено
3 Ден
2783
Степен на доказаност A


  Mentions Légales