Последнее обновление :
27/01/2026
Антибиотик   Colistin mesilate sodium  
Инъекция
Аэрозоль
Стабильность растворов Стабильность смесей Факторы, которые влияют на стабильность Совместимость Способы введения Библиография pdf
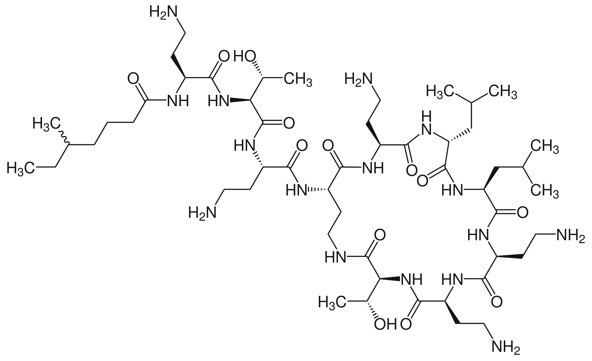
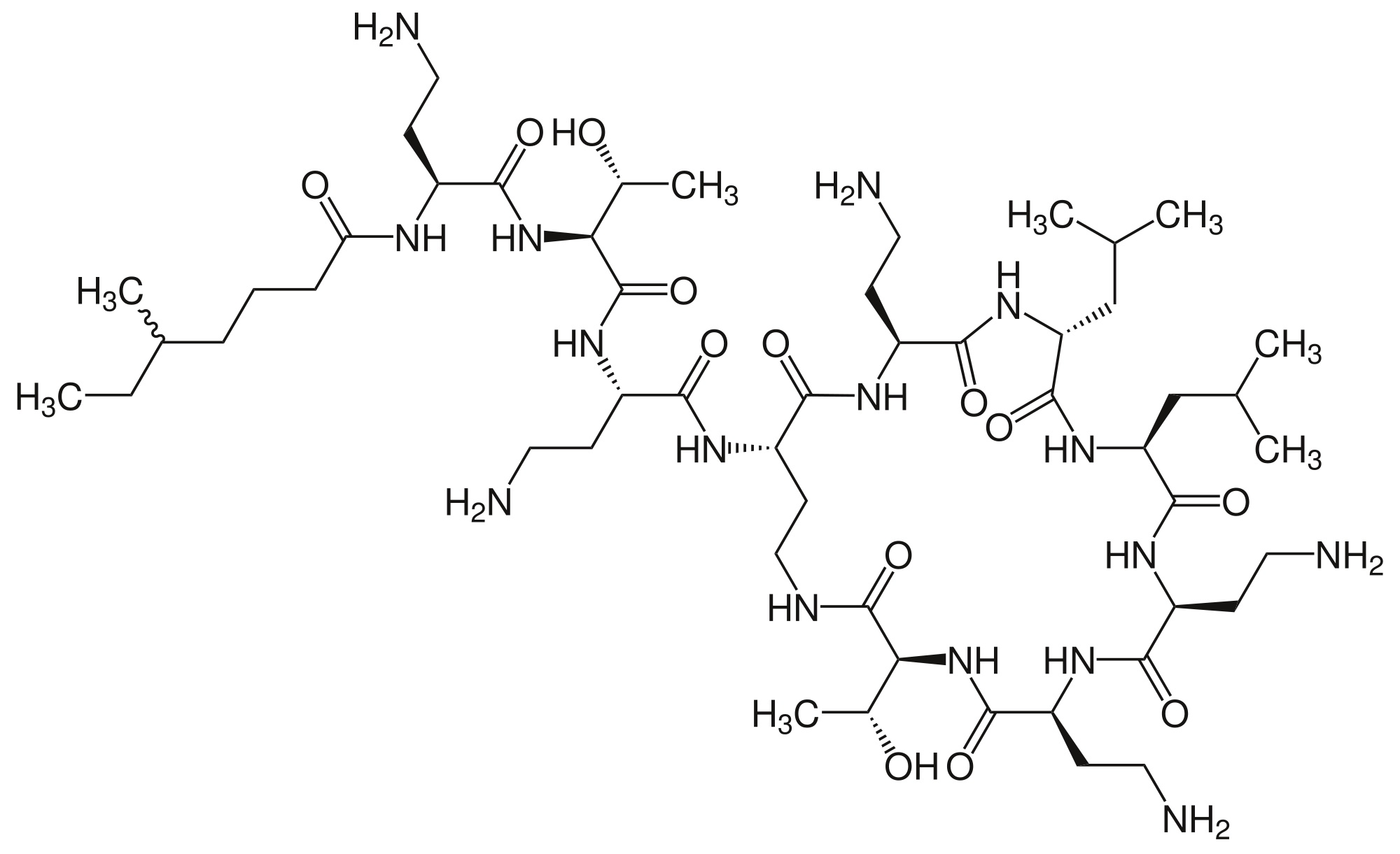
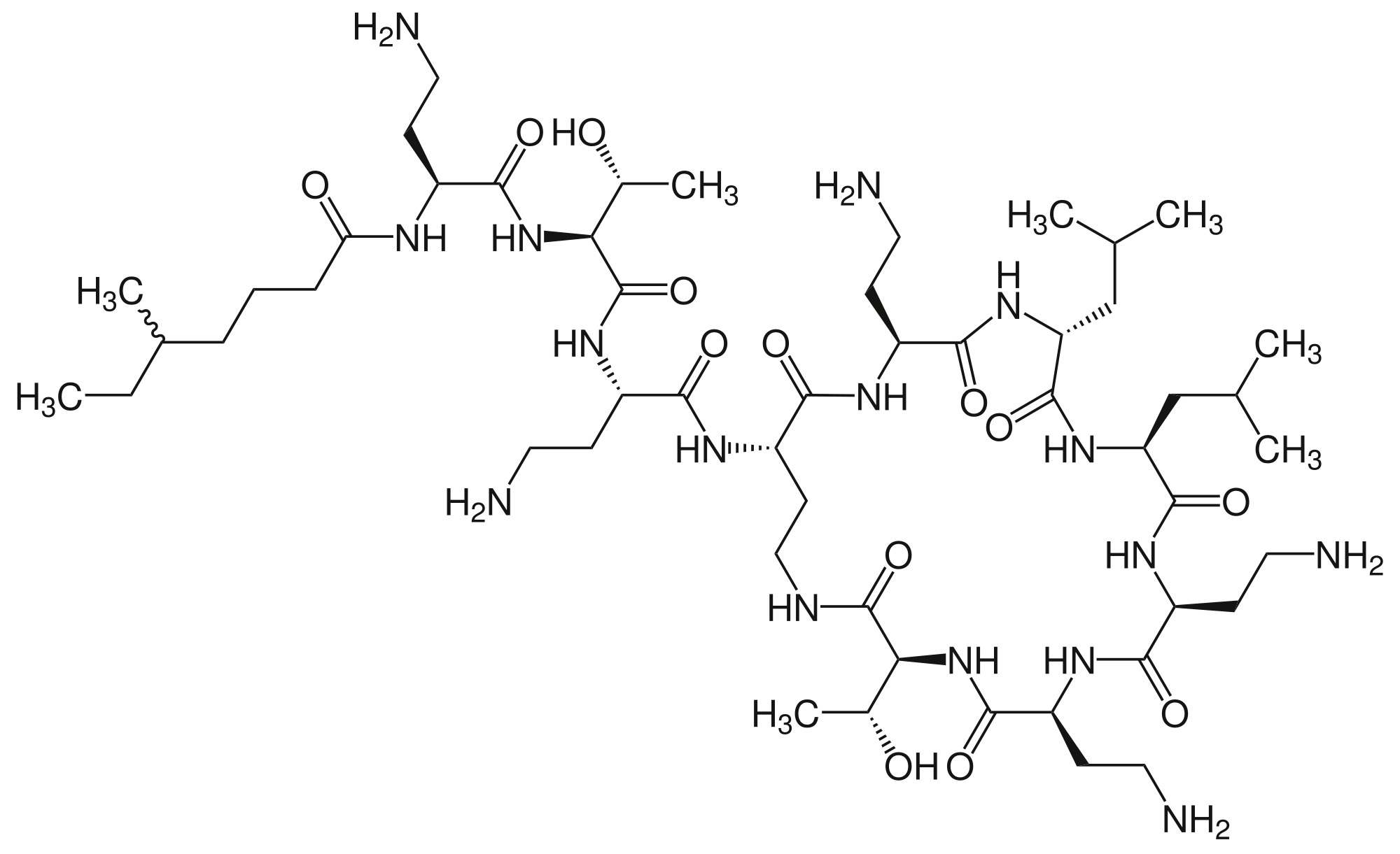
   Химическая структура  

Товарное название   Товарное название     

Trade names are indicative and excipients composition can be different depending on the country and manufacturers

Alficetin Аргентина
Colimicina Италия
Colimycin Дания, Норвегия, Турция
Colimycine Голландия, Люксембург, Марокко, Тунис, Франция
Colismet Перу
Colistimethate Великобритания, Канада, Соединённые Штаты Америки, Франция
Colistin Австрия, Германия, Греция, новая Зеландия, Польша
Colistina Аргентина, Португалия, чили
Colistineb Бельгия
Colistyn Аргентина
Colixin Словения
Colomycin Великобритания, Ирландия, Канада, Малайзия, Соединённые Штаты Америки
Dicupal чили
Elistin Перу
Kolisod Турция
Nolisin
Promixin Великобритания, Германия, Ирландия, Норвегия
Toliscrin Аргентина
Стабильность растворов   Инъекция   Стабильность растворов : Colistin mesilate sodium     
Упаковка Растворитель Концентрация Температура Хранение Продолжительность стабильности Ссылки
Стекло Вода для инъекций 200 mg/ml 25°C Защищён от света
7 День
2285
Уровень доказательности D

Стекло Вода для инъекций 200 mg/ml 4°C Защищён от света
7 День
2285
Уровень доказательности D

Стекло Вода для инъекций 75 mg/ml -20°C Защищён от света
24 Час
3360
Уровень доказательности B

Стекло Вода для инъекций 75 mg/ml 21°C Не указано
24 Час
3360
Уровень доказательности B

Стекло Вода для инъекций 75 mg/ml 4°C Не указано
24 Час
3360
Уровень доказательности B

Поливинилхлорид Натрия хлорид 0,9% 4 mg/ml 4°C Защищён от света
48 Час
2285
Уровень доказательности D

Поливинилхлорид Глюкоза 5% 4 mg/ml 4°C Защищён от света
48 Час
2285
Уровень доказательности D

Полиолефин Натрия хлорид 0,9% 1,6 mg/ml 2-8°C Защищён от света
7 День
4178
Уровень доказательности B

Полиолефин Натрия хлорид 0,9% 1,6 mg/ml 20-24°C И на свету и в темноте
1 День
4178
Уровень доказательности B

Полиизопреновый эластомер Натрия хлорид 0,9% 0,8 & 2,4 mg/ml 2-8°C Защищён от света
7 День
4178
Уровень доказательности B

Полиизопреновый эластомер Натрия хлорид 0,9% 0,8 & 2,4 mg/ml 20-24°C И на свету и в темноте
1 День
4178
Уровень доказательности B

Силиконовый эластомер Натрия хлорид 0,9% 0,8 mg/ml 4°C Не указано
3 День
2783
Уровень доказательности A


  Mentions Légales