viimane versioon :
27/01/2026
antibiootikum   Colistin mesilate sodium  
Süsteravim
aerosool
Stabiilsus lahustes Stabiilsust mõjutavad tegurid stabiilsust mõjutavad faktorid Sobimatus Manustamis viis Viited pdf
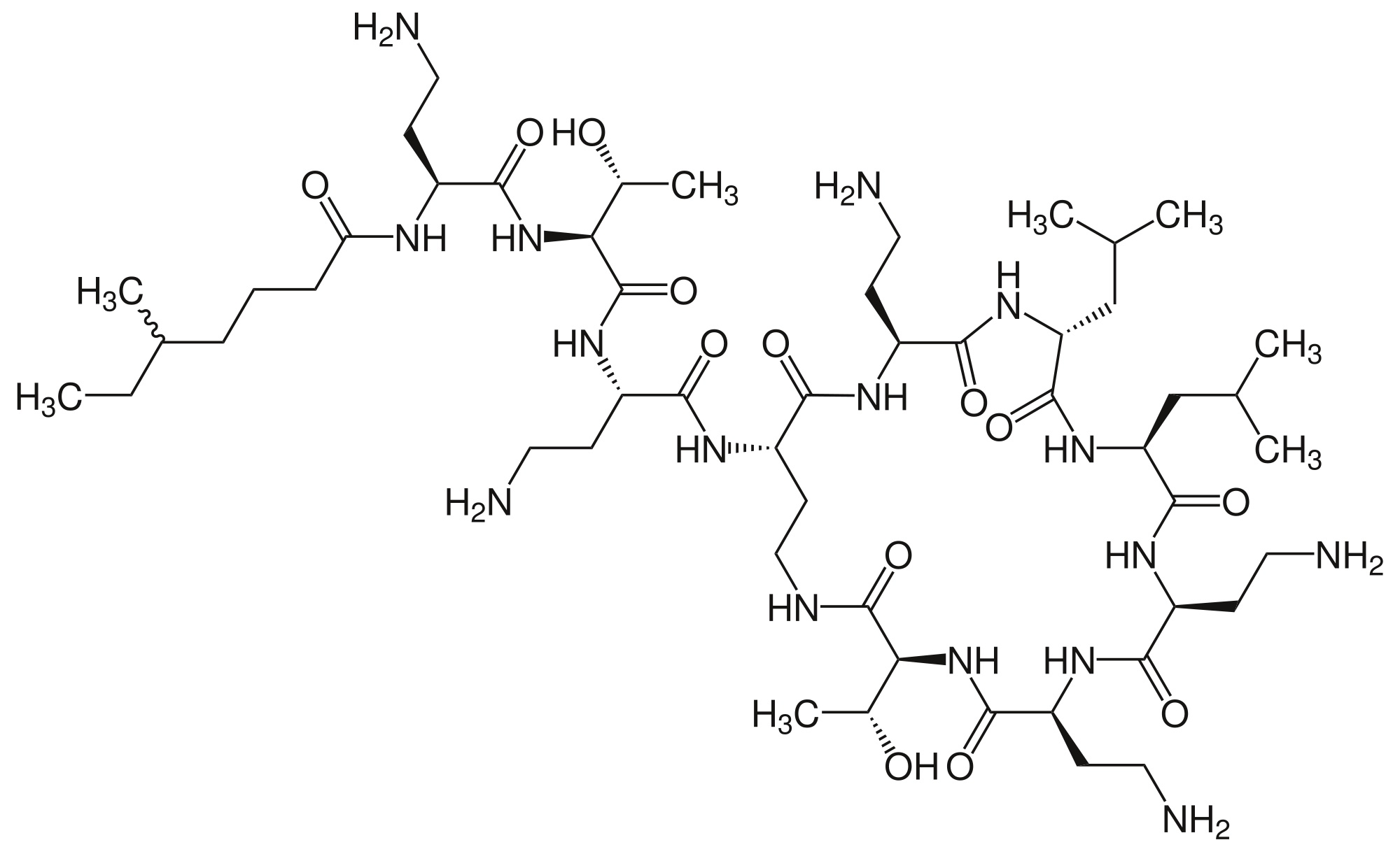
   keemiline struktuur  

Kaubanduslikud nimed erinevates maades   Kaubanduslikud nimed erinevates maades     

Preparaatide nimed on näitlikud ja abianete sisaldus võib erineda sõltuvalt riigist ja laborist

Alficetin Argentiina
Colimicina Itaalia
Colimycin Norra, Taani, Türgi
Colimycine Holland, Luksemburg, Maroko, Prantsusmaa, Tuneesia
Colismet Maroko
Colistimethate Ameerika ühendriigid, Kanada, Prantsusmaa, Suurbritannia
Colistin Austria, Kreeka, Poola, Saksamaa, uus-Meremaa
Colistina Argentiina, Portugal, Tšiili
Colistineb Belgia
Colistyn Argentiina
Colixin Sloveenia
Colomycin Ameerika ühendriigid, Iirimaa, Kanada, Malaisia, Suurbritannia
Dicupal Tšiili
Elistin Maroko
Kolisod Türgi
Nolisin
Promixin Iirimaa, Norra, Saksamaa, Suurbritannia
Toliscrin Argentiina
Stabiilsus lahustes   Süsteravim   Stabiilsus lahustes : Colistin mesilate sodium     
konteiner lahusti kontsentratsioon temperatuur ladustamine Stabiilsuse kestus Viited
klaas süstevesi 200 mg/ml 25°C kaitsta valguse eest
7 päev
2285
Tõenduspõhisuse tase D

klaas süstevesi 200 mg/ml 4°C kaitsta valguse eest
7 päev
2285
Tõenduspõhisuse tase D

klaas süstevesi 75 mg/ml -20°C kaitsta valguse eest
24 Tund
3360
Tõenduspõhisuse tase B

klaas süstevesi 75 mg/ml 21°C pole täpsustatud
24 Tund
3360
Tõenduspõhisuse tase B

klaas süstevesi 75 mg/ml 4°C pole täpsustatud
24 Tund
3360
Tõenduspõhisuse tase B

polüvinüülkloriid naatriumkloriid 0.9% 4 mg/ml 4°C kaitsta valguse eest
48 Tund
2285
Tõenduspõhisuse tase D

polüvinüülkloriid glükoos 5% 4 mg/ml 4°C kaitsta valguse eest
48 Tund
2285
Tõenduspõhisuse tase D

polüolefiin naatriumkloriid 0.9% 1,6 mg/ml 2-8°C kaitsta valguse eest
7 päev
4178
Tõenduspõhisuse tase B

polüolefiin naatriumkloriid 0.9% 1,6 mg/ml 20-24°C valgusega või ilma valguseta
1 päev
4178
Tõenduspõhisuse tase B

Polüisopreenist elastomeer naatriumkloriid 0.9% 0,8 & 2,4 mg/ml 2-8°C kaitsta valguse eest
7 päev
4178
Tõenduspõhisuse tase B

Polüisopreenist elastomeer naatriumkloriid 0.9% 0,8 & 2,4 mg/ml 20-24°C valgusega või ilma valguseta
1 päev
4178
Tõenduspõhisuse tase B

Silikoon elastomeer naatriumkloriid 0.9% 0,8 mg/ml 4°C pole täpsustatud
3 päev
2783
Tõenduspõhisuse tase A


  Mentions Légales