Ostatnia aktualizacja :
27/04/2026
Antybiotyk   Colistin mesilate sodium  
Injekcje
Aerozol
Trwałość roztworów Trwałość w mieszaninie Czynnik wpływający na trwałość Zgodność Sposób podania Bibliografia pdf
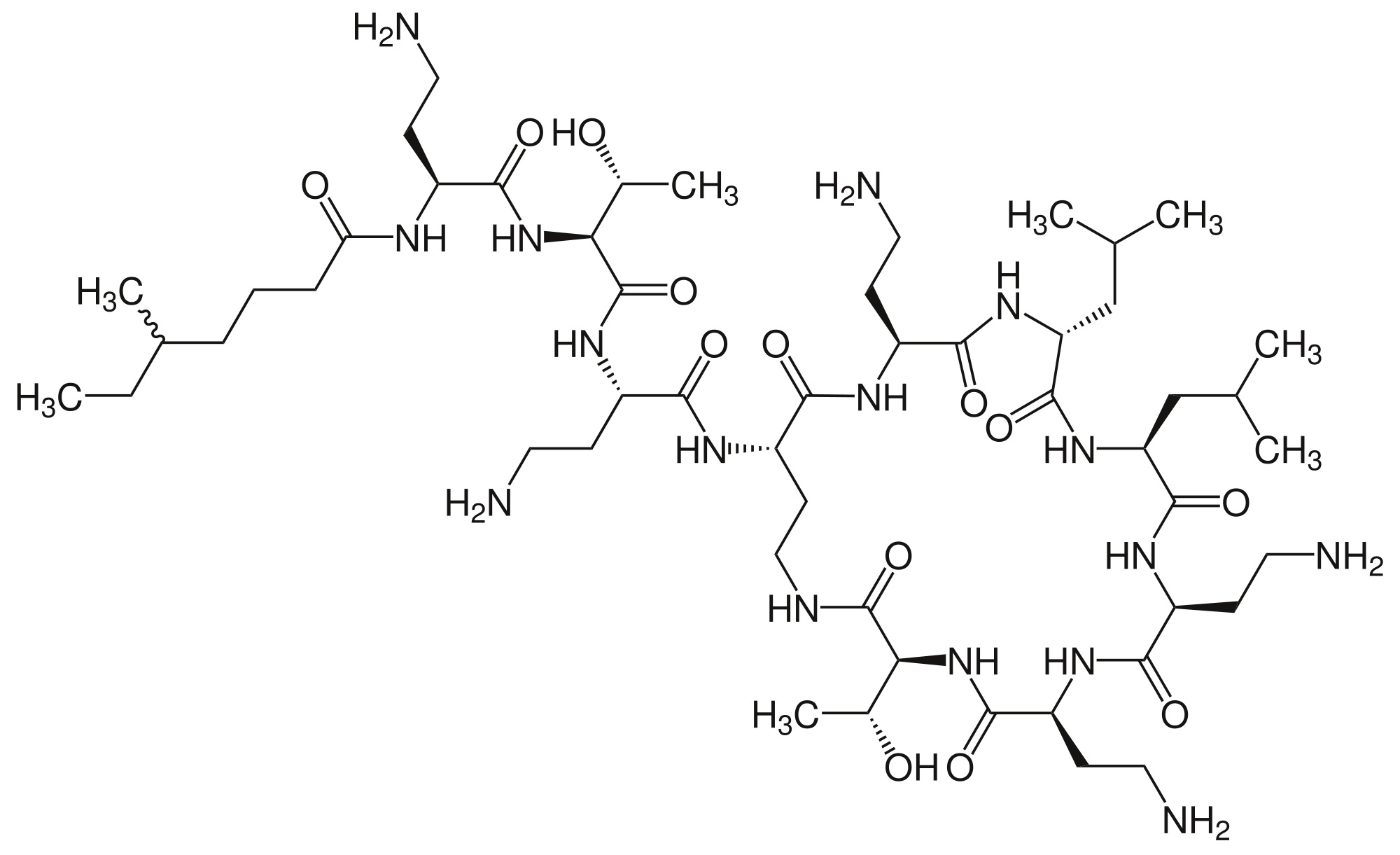
   Struktura chemiczna  

Nazwa handlowa   Nazwa handlowa     

Trade names are indicative and excipients composition can be different depending on the country and manufacturers

Alficetin Argentyna
Colimicina Włochy
Colimycin Dania, Norwegia, Turcja
Colimycine Francja , Holandia, Luksemburg, Maroko, Tunisie
Colismet Peru
Colistimethate Francja , Kanada, Stany Zjednoczone Ameryki, Wielka Brytania
Colistin Austria, Grecja, Niemcy, nowa Zelandia, Polska
Colistina Argentyna, Chile, Portugalia
Colistineb Belgia
Colistyn Argentyna
Colixin Słowenia
Colomycin Irlandia, Kanada, Malezja, Stany Zjednoczone Ameryki, Wielka Brytania
Dicupal Chile
Elistin Peru
Kolisod Turcja
Nolisin
Promixin Irlandia, Niemcy, Norwegia, Wielka Brytania
Toliscrin Argentyna
Trwałość roztworów   Injekcje   Trwałość roztworów : Colistin mesilate sodium     
Pojemnik Rozpuszczalnik Stężenie Temperatura Przechowywanie Czas trwania stabilności Bibliografia
Szkło Woda do wstrzyknięć 200 mg/ml 25°C Chronić od światła
7 Dzień
2285
Poziom wiarygodności D

Szkło Woda do wstrzyknięć 200 mg/ml 4°C Chronić od światła
7 Dzień
2285
Poziom wiarygodności D

Szkło Woda do wstrzyknięć 75 mg/ml -20°C Chronić od światła
24 Godzina
3360
Poziom wiarygodności B

Szkło Woda do wstrzyknięć 75 mg/ml 21°C Nie wyszczególniony
24 Godzina
3360
Poziom wiarygodności B

Szkło Woda do wstrzyknięć 75 mg/ml 4°C Nie wyszczególniony
24 Godzina
3360
Poziom wiarygodności B

Polichlorek winylu Chlorek sodu 0,9% 4 mg/ml 4°C Chronić od światła
48 Godzina
2285
Poziom wiarygodności D

Polichlorek winylu Glukoza 5% 4 mg/ml 4°C Chronić od światła
48 Godzina
2285
Poziom wiarygodności D

Poliolefina Chlorek sodu 0,9% 1,6 mg/ml 2-8°C Chronić od światła
7 Dzień
4178
Poziom wiarygodności B

Poliolefina Chlorek sodu 0,9% 1,6 mg/ml 20-24°C Przy świetle lub w ciemności
1 Dzień
4178
Poziom wiarygodności B

Elastomer poliizoprenowy Chlorek sodu 0,9% 0,8 & 2,4 mg/ml 2-8°C Chronić od światła
7 Dzień
4178
Poziom wiarygodności B

Elastomer poliizoprenowy Chlorek sodu 0,9% 0,8 & 2,4 mg/ml 20-24°C Przy świetle lub w ciemności
1 Dzień
4178
Poziom wiarygodności B

Elastomer silikonowy Chlorek sodu 0,9% 0,8 mg/ml 4°C Nie wyszczególniony
3 Dzień
2783
Poziom wiarygodności A


  Mentions Légales