Última actualización :
18/03/2026
Antibiótico   Colistin mesilate sodium  
Inyectables
Aerosol
Estabilidad en solucion Estabilidad en mezcla Factores que influyen sobre la estabilidad Compatibilidades método de inyección Bibliografía pdf
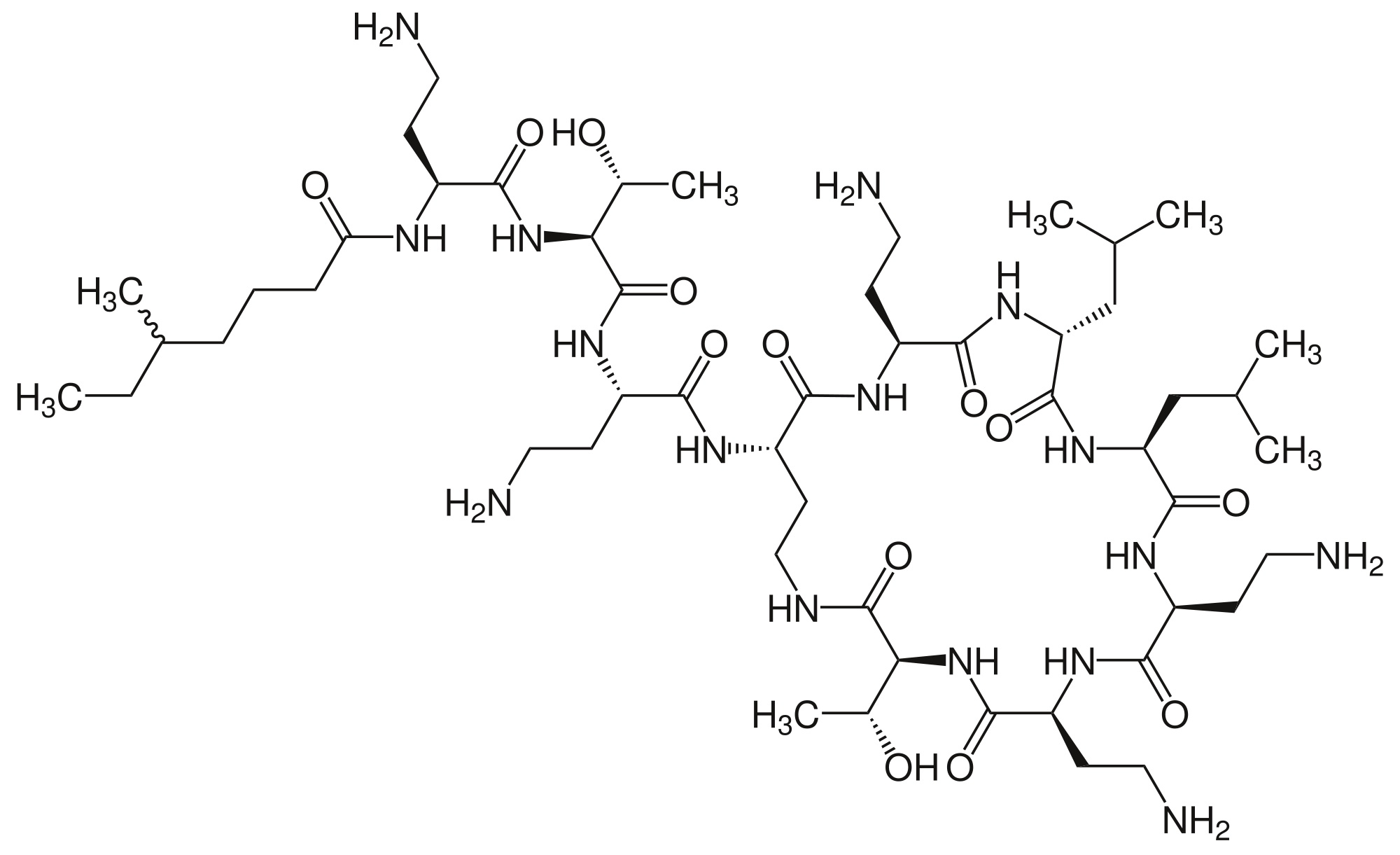
   Estructura química  

Nombre comercial   Nombre comercial     

Los nombres comerciales son orientativos y los excipientes de la formulación pueden ser distintos dependiendo del país y del laboratorio fabricante.

Alficetin Argentina
Colimicina Italia
Colimycin Dinamarca, Noruega, Turquía
Colimycine Francia, Luxemburgo, Marruecos, Países Bajos, Túnez
Colismet Marruecos
Colistimethate Canadá, Estados Unidos de América, Francia, Gran Bretaña
Colistin Alemania, Austria, Grecia, Nueva Zelanda, Polonia
Colistina Argentina, Chile, Portugal
Colistineb Bélgica
Colistyn Argentina
Colixin Eslovenia
Colomycin Canadá, Estados Unidos de América, Gran Bretaña, Irlanda, Malasia
Dicupal Chile
Elistin Marruecos
Kolisod Turquía
Nolisin
Promixin Alemania, Gran Bretaña, Irlanda, Noruega
Toliscrin Argentina
Estabilidad en solucion   Inyectables   Estabilidad en solucion : Colistin mesilate sodium     
Envase Solvente Concentración Temperatura Conservación Duración de la estabilidad Bibliografía
Vidrio Agua para preparación inyectable 200 mg/ml 25°C A cubierto de la luz
7 Día
2285
Nivel de evidencia D

Vidrio Agua para preparación inyectable 200 mg/ml 4°C A cubierto de la luz
7 Día
2285
Nivel de evidencia D

Vidrio Agua para preparación inyectable 75 mg/ml -20°C A cubierto de la luz
24 Hora
3360
Nivel de evidencia B

Vidrio Agua para preparación inyectable 75 mg/ml 21°C No precisada
24 Hora
3360
Nivel de evidencia B

Vidrio Agua para preparación inyectable 75 mg/ml 4°C No precisada
24 Hora
3360
Nivel de evidencia B

Cloruro de polivinilo Cloruro de sodio 0,9% 4 mg/ml 4°C A cubierto de la luz
48 Hora
2285
Nivel de evidencia D

Cloruro de polivinilo Glucosa 5% 4 mg/ml 4°C A cubierto de la luz
48 Hora
2285
Nivel de evidencia D

Poliolefina Cloruro de sodio 0,9% 1,6 mg/ml 2-8°C A cubierto de la luz
7 Día
4178
Nivel de evidencia B

Poliolefina Cloruro de sodio 0,9% 1,6 mg/ml 20-24°C Con o sin luz
1 Día
4178
Nivel de evidencia B

Elastómero de poliisopreno Cloruro de sodio 0,9% 0,8 & 2,4 mg/ml 2-8°C A cubierto de la luz
7 Día
4178
Nivel de evidencia B

Elastómero de poliisopreno Cloruro de sodio 0,9% 0,8 & 2,4 mg/ml 20-24°C Con o sin luz
1 Día
4178
Nivel de evidencia B

Elastómero de silicona Cloruro de sodio 0,9% 0,8 mg/ml 4°C No precisada
3 Día
2783
Nivel de evidencia A


  Mentions Légales