Останнє оновлення :
27/01/2026
Антибіотик   Erythromycin lactobionate  
ін'єкція
Стійкість в розчинах Стійкість сумішей Фактори, що впливають на стабільність Сумісність Шлях введення Список літератури pdf
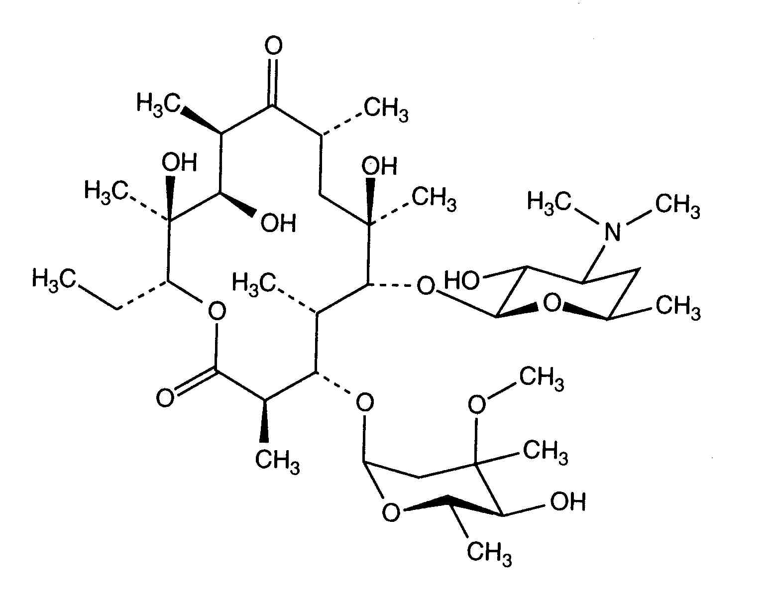
   Хімічна структура  

Торгова назва   Торгова назва     

Торгові назви є орієнтовними, а склад допоміжних речовин може бути різним залежно від країни та виробника

Abboticin Данія, Норвегія, Фінляндія, Швеція
Eristin Аргентина
Erithromicina Чилі
Erycinum Німеччина
Erythrocin Ірландія, Австрія, Австралія, Великобританія, Канада, Німеччина, Нова Зеландія, Саудівська Аравія, Сполучені Штати Америки
Erythrocin lactobionat ADD Vantage Австрія, Австралія
Erythrocine Бельгія, Люксембург, Нідерланди, Туніс, Франція
Erythromycin Великобританія, Німеччина, Саудівська Аравія, Сполучені Штати Америки, Угорщина
Erythromycine Люксембург
Erythromycinum Польща
Pantomicina Іспанія, Чилі
Стійкість в розчинах   ін'єкція   Стійкість в розчинах : Erythromycin lactobionate     
Контейнер Розчинник Концентрація температура Зберігання Тривалість стабільності Список літератури
скло Вода для ін'єкцій 50 mg/ml 2-8°C Не визначено
24 годину
3674
Дані виробника про стабільність

Полівініл хлорид Натрію хлорид 0,9% ? mg/ml 5°C Берегти від світла
60 День
1154
Рівень доказовості D

Полівініл хлорид Натрію хлорид 0,9% 10 mg/ml -20°C Берегти від світла
30 День
573
Біологічний аналіз

Полівініл хлорид Натрію хлорид 0,9% 4,54 mg/ml -20°C Берегти від світла
365 День
22
Рівень доказовості А+

Полівініл хлорид Глюкоза 5% 10 mg/ml -20°C Берегти від світла
30 День
573
Біологічний аналіз


  Mentions Légales