Utolsó frissítés :
27/04/2026
Antibiotikum   Erythromycin lactobionate  
Injekció
Az oldatok stabilitása A keverékek stabilitása Stabilitást befolyásoló tényezők Kompatibilitás Az alkalmazás módja Irodalom pdf
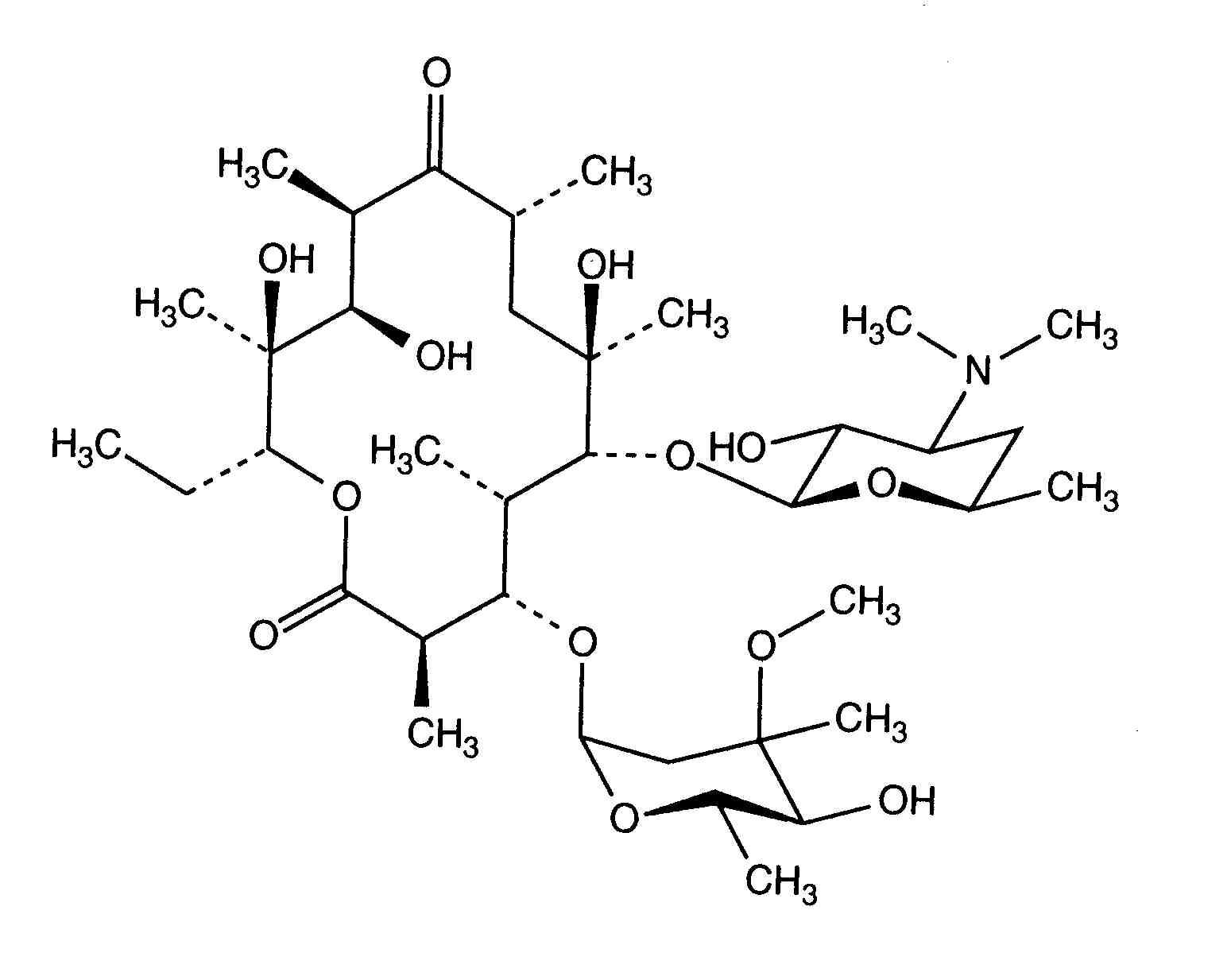
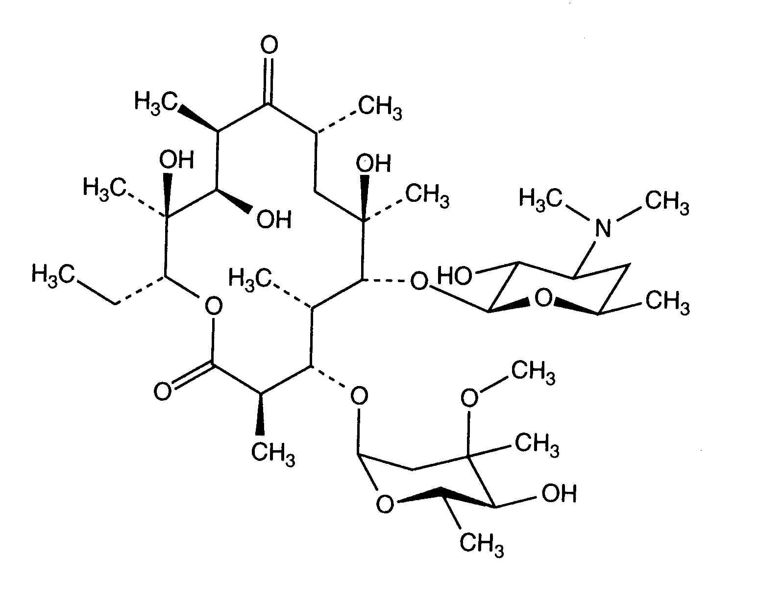
   Kémiai szerkezet   

Kereskedelmi név   Kereskedelmi név     

A kereskedelmi név meghatározó jelentőségű: a készítmények összetétele országonként, előállítóként eltérő lehet

Abboticin Dánia, Finnország, Norvégia, Svédország
Eristin Argentína
Erithromicina Chile
Erycinum Németország
Erythrocin Amerikai Egyesült Államok, Ausztrália, Ausztria, Írország, Kanada, Nagy-Britannia, Németország, Szaúd-Arábiában, új-Zéland
Erythrocin lactobionat ADD Vantage Ausztrália, Ausztria
Erythrocine Belgium, Franciaország, Hollandia, Luxemburg, Tunézia
Erythromycin Amerikai Egyesült Államok, Magyarország, Nagy-Britannia, Németország, Szaúd-Arábiában
Erythromycine Luxemburg
Erythromycinum Lengyelország
Pantomicina Chile, Spanyolország
Az oldatok stabilitása   Injekció   Az oldatok stabilitása : Erythromycin lactobionate     
Csomagolás Oldószer Koncentráció Hőmérséklet Tárolás A stabilitás időtartama Irodalom
Üveg Injekcióhoz való víz 50 mg/ml 2-8°C Nincs meghatározva
24 Óra
3674
Gyártó stabilitási adatokra

Poli(vinilklorid) 0,9% nátrium-klorid ? mg/ml 5°C Fénytől védve tartandó
60 Nap
1154
Szintű bizonyítékot D

Poli(vinilklorid) 0,9% nátrium-klorid 10 mg/ml -20°C Fénytől védve tartandó
30 Nap
573
Biológiai elemzés

Poli(vinilklorid) 0,9% nátrium-klorid 4,54 mg/ml -20°C Fénytől védve tartandó
365 Nap
22
Szintű bizonyítékot A+

Poli(vinilklorid) 5% glükóz 10 mg/ml -20°C Fénytől védve tartandó
30 Nap
573
Biológiai elemzés


  Mentions Légales