Poslední aktualizace :
27/01/2026
Antibiotikas   Erythromycin lactobionate  
Įpurškimas
Tirpalų stabilumas Mišinių stabilumas Stabilumą lemiantys veiksniai Suderinamumas Leidimo būdai Bibliografija pdf
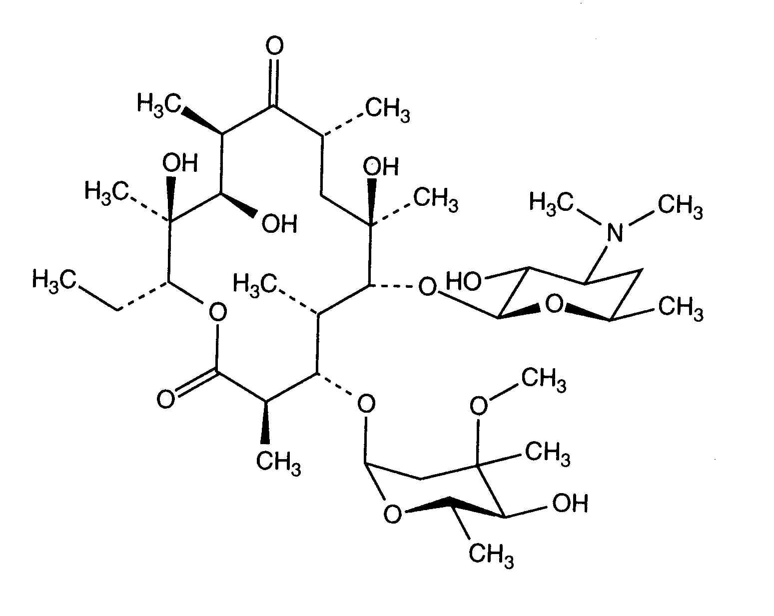
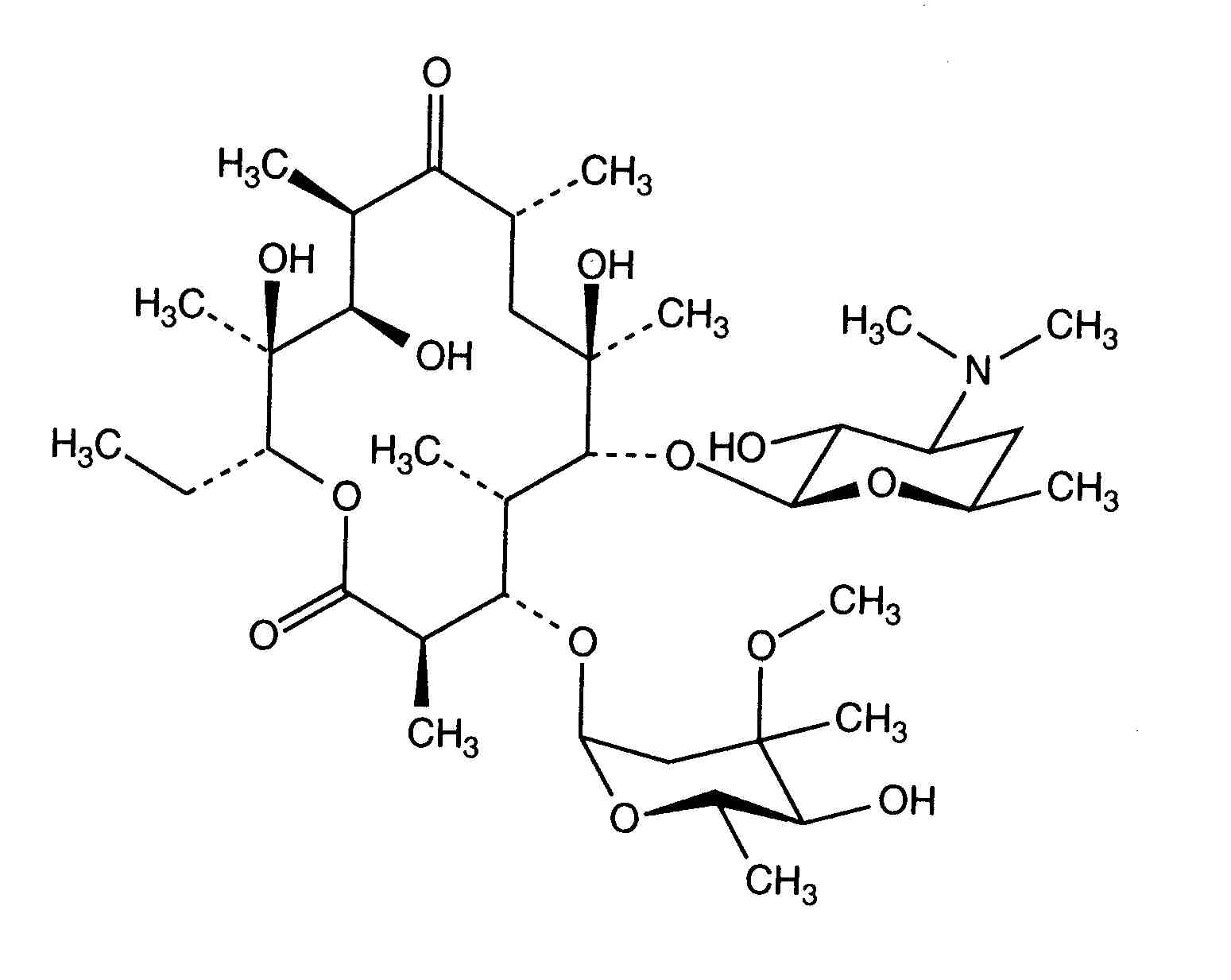
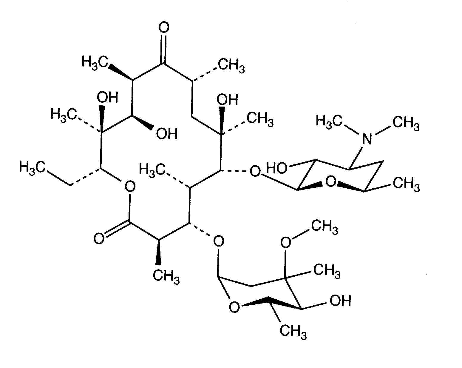
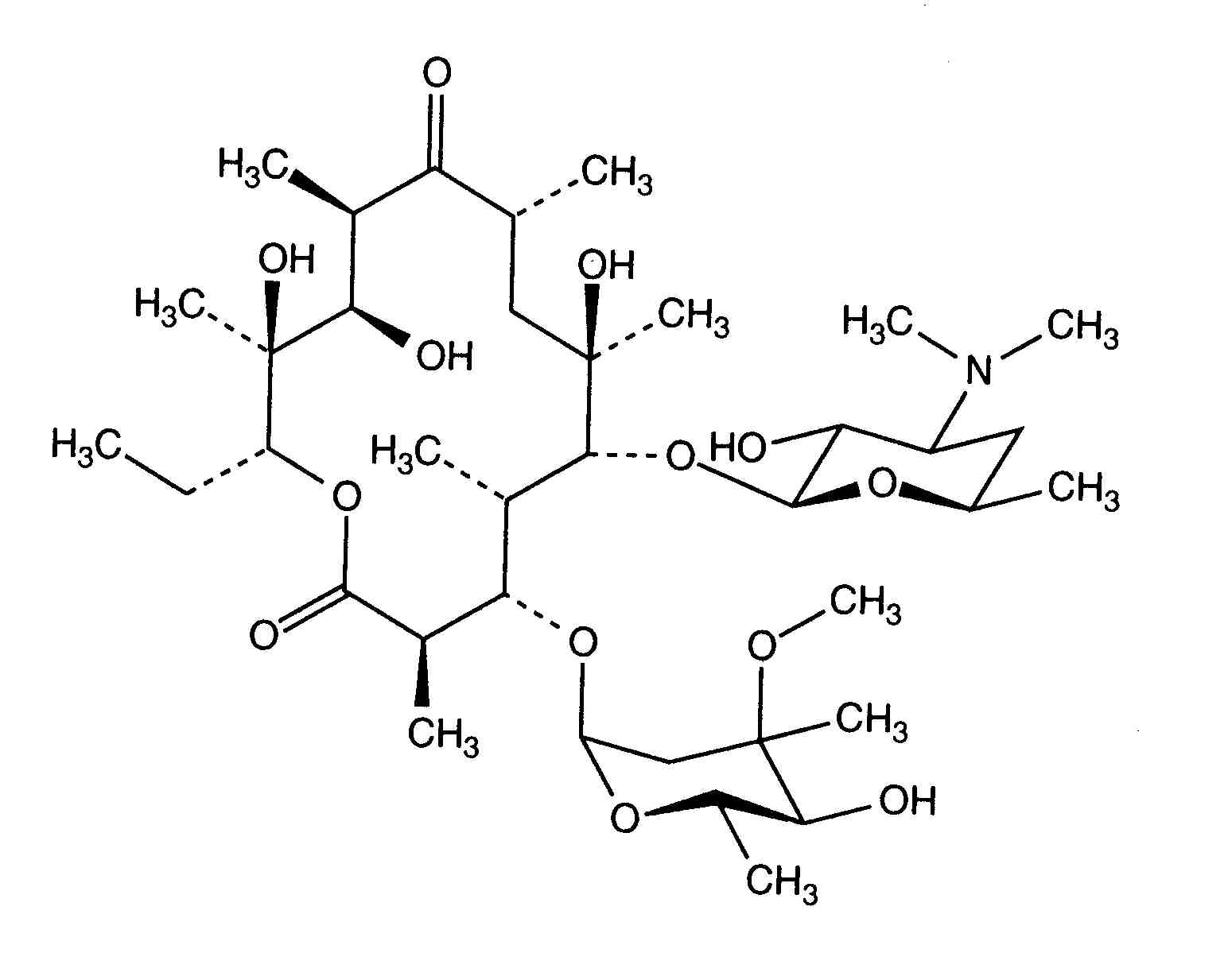
   Cheminė sandara  

Prekinis pavadinimas   Prekinis pavadinimas     

Trade names are indicative and excipients composition can be different depending on the country and manufacturers

Abboticin Danija, Norvegija, Suomija, Švedija
Eristin Argentina
Erithromicina Čilė
Erycinum Vokietija
Erythrocin Airija, Australija, Austrija, Didžioji Britanija, Jungtinės Amerikos Valstijos, Kanada, Naujojoje Zelandijoje, Saudo Arabija, Vokietija
Erythrocin lactobionat ADD Vantage Australija, Austrija
Erythrocine Belgija, Liuksemburgas, Olandija, Prancūzija, Tunisas
Erythromycin Didžioji Britanija, Jungtinės Amerikos Valstijos, Saudo Arabija, Vengrija, Vokietija
Erythromycine Liuksemburgas
Erythromycinum Lenkija
Pantomicina Čilė, Ispanija
Tirpalų stabilumas   Įpurškimas   Tirpalų stabilumas : Erythromycin lactobionate     
Pakuotė Tirpiklis Koncentracija Temperatūra Laikymas Stabilumo trukmė Nuorodos
Stiklas Vanduo injekcijoms 50 mg/ml 2-8°C Nenurodyta
24 Valanda
3674
Gamintojo stabilumo duomenys

Polivinilchloridas Natrio chloridas 0,9% ? mg/ml 5°C Apsaugotas nuo šviesos
60 Diena
1154
Bandymo lygis D

Polivinilchloridas Natrio chloridas 0,9% 10 mg/ml -20°C Apsaugotas nuo šviesos
30 Diena
573
Biologinis metodas

Polivinilchloridas Natrio chloridas 0,9% 4,54 mg/ml -20°C Apsaugotas nuo šviesos
365 Diena
22
Bandymo lygis A+

Polivinilchloridas Gliukozė 5% 10 mg/ml -20°C Apsaugotas nuo šviesos
30 Diena
573
Biologinis metodas


  Mentions Légales