Seneste opdatering :
27/04/2026
Antibiotisk   Erythromycin lactobionate  
Injektion
Stabilitet i (vandige) opløsninger Stabilitet i blandinger Faktorer der påvirker stabiliteten Kompatibilitet Administrationsvej Bibliografi pdf
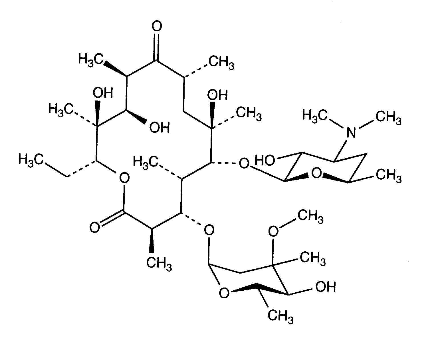
   Kemisk struktur  

Handelsnavn   Handelsnavn     

Handel navne er vejledende og hjælpestoffer sammensætning kan være forskellig afhængigt af landet og laboratorier

Abboticin Danmark, Finland, Norge, Sverige
Eristin Argentina
Erithromicina Chile
Erycinum Tyskland
Erythrocin Australien, Canada, Irland, New Zealand, Saudi-Arabien, Storbritanien, Tyskland, USA, Østrig
Erythrocin lactobionat ADD Vantage Australien, Østrig
Erythrocine Belgien, Frankrig, Holland, Luxemborg, Tunesien
Erythromycin Saudi-Arabien, Storbritanien, Tyskland, Ungarn, USA
Erythromycine Luxemborg
Erythromycinum Polen
Pantomicina Chile, Spanien
Stabilitet i (vandige) opløsninger   Injektion   Stabilitet i (vandige) opløsninger : Erythromycin lactobionate     
Beholder Opløsningsmiddel Koncentration Temperatur Konservering Varighed af stabilitet Bibliografi
Glas Vand til injektion 50 mg/ml 2-8°C Ikke nærmere angivet
24 Time
3674
Producentens stabilitet data

Polyvinylklorid 0,9 % Natriumklorid ? mg/ml 5°C Beskyt mod lys
60 Dag
1154
Level af bevismateriale D

Polyvinylklorid 0,9 % Natriumklorid 10 mg/ml -20°C Beskyt mod lys
30 Dag
573
biologisk analyse

Polyvinylklorid 0,9 % Natriumklorid 4,54 mg/ml -20°C Beskyt mod lys
365 Dag
22
Level af bevismateriale A+

Polyvinylklorid 5 % Glukose 10 mg/ml -20°C Beskyt mod lys
30 Dag
573
biologisk analyse


  Mentions Légales