Son güncelleme :
27/04/2026
Antibiyotik   Erythromycin lactobionate  
Enjeksiyon
Çözeltilerin stabilitesi Karışımlardaki stabilitesi Stabiliteyi etkileyen faktörler Uyumluluk Uygulama yöntemi Kaynaklar pdf
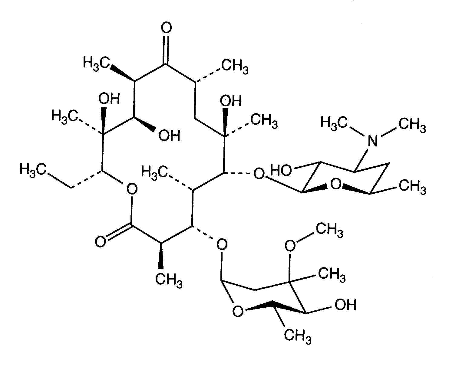
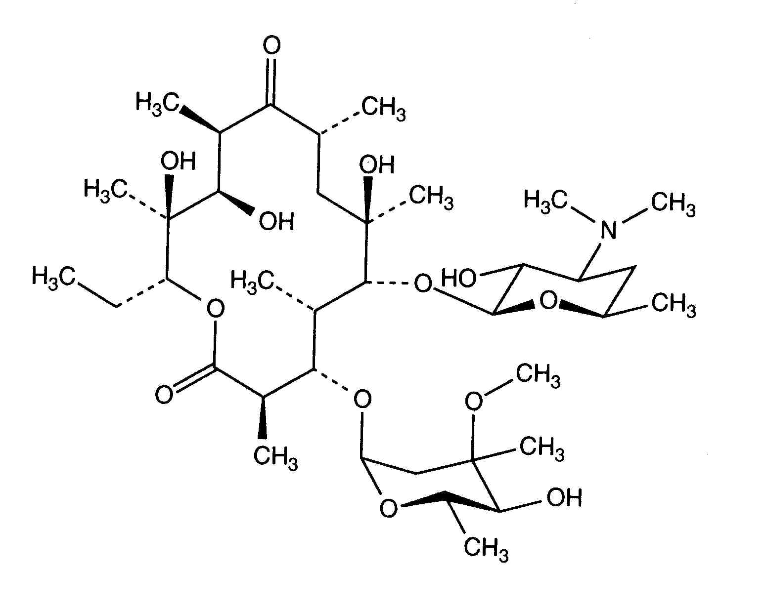
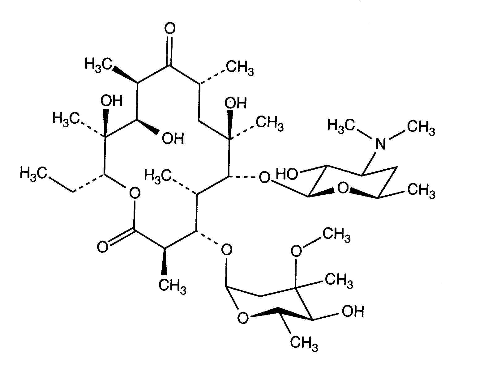
   Kimyasal yapı   

Ticari isim   Ticari isim     

Trade names are indicative and excipients composition can be different depending on the country and manufacturers

Abboticin Danimarka, Finlandiya, İsveç, Norveç
Eristin Arjantin
Erithromicina Şili
Erycinum Almanya
Erythrocin Almanya, Amerika Birleşik Devletleri, Avustralya, Avusturya, Büyük Britanya, İrlanda, Kanada, Suudi Arabistan, yeni Zelanda
Erythrocin lactobionat ADD Vantage Avustralya, Avusturya
Erythrocine Belçika, Fransa, Hollanda, Lüksemburg, Tunus
Erythromycin Almanya, Amerika Birleşik Devletleri, Büyük Britanya, Macaristan, Suudi Arabistan
Erythromycine Lüksemburg
Erythromycinum Polonya
Pantomicina İspanya, Şili
Çözeltilerin stabilitesi   Enjeksiyon    Çözeltilerin stabilitesi : Erythromycin lactobionate     
Saklama kabı Çözücü Konsantrasyon Isı Saklama    Stabilite süresi Kaynaklar
Cam Enjeksiyonluk su 50 mg/ml 2-8°C Belirtilmemiş
24 Zaman
3674
Üreticinin stabilite verileri

Polivinil klorür Sodyum klorür % 0,9 ? mg/ml 5°C Işıktan koruyunuz
60 Gün
1154
Kanıt düzeyi D

Polivinil klorür Sodyum klorür % 0,9 10 mg/ml -20°C Işıktan koruyunuz
30 Gün
573
biyolojik analiz

Polivinil klorür Sodyum klorür % 0,9 4,54 mg/ml -20°C Işıktan koruyunuz
365 Gün
22
Kanıt düzeyi A+

Polivinil klorür Glukoz %5 10 mg/ml -20°C Işıktan koruyunuz
30 Gün
573
biyolojik analiz


  Mentions Légales