Última actualización :
27/04/2026
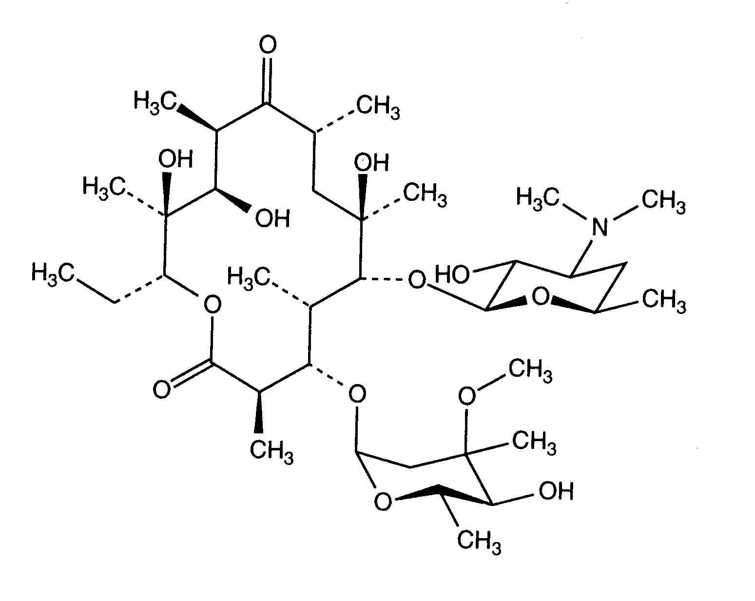
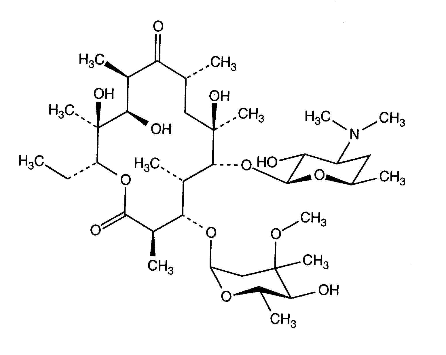
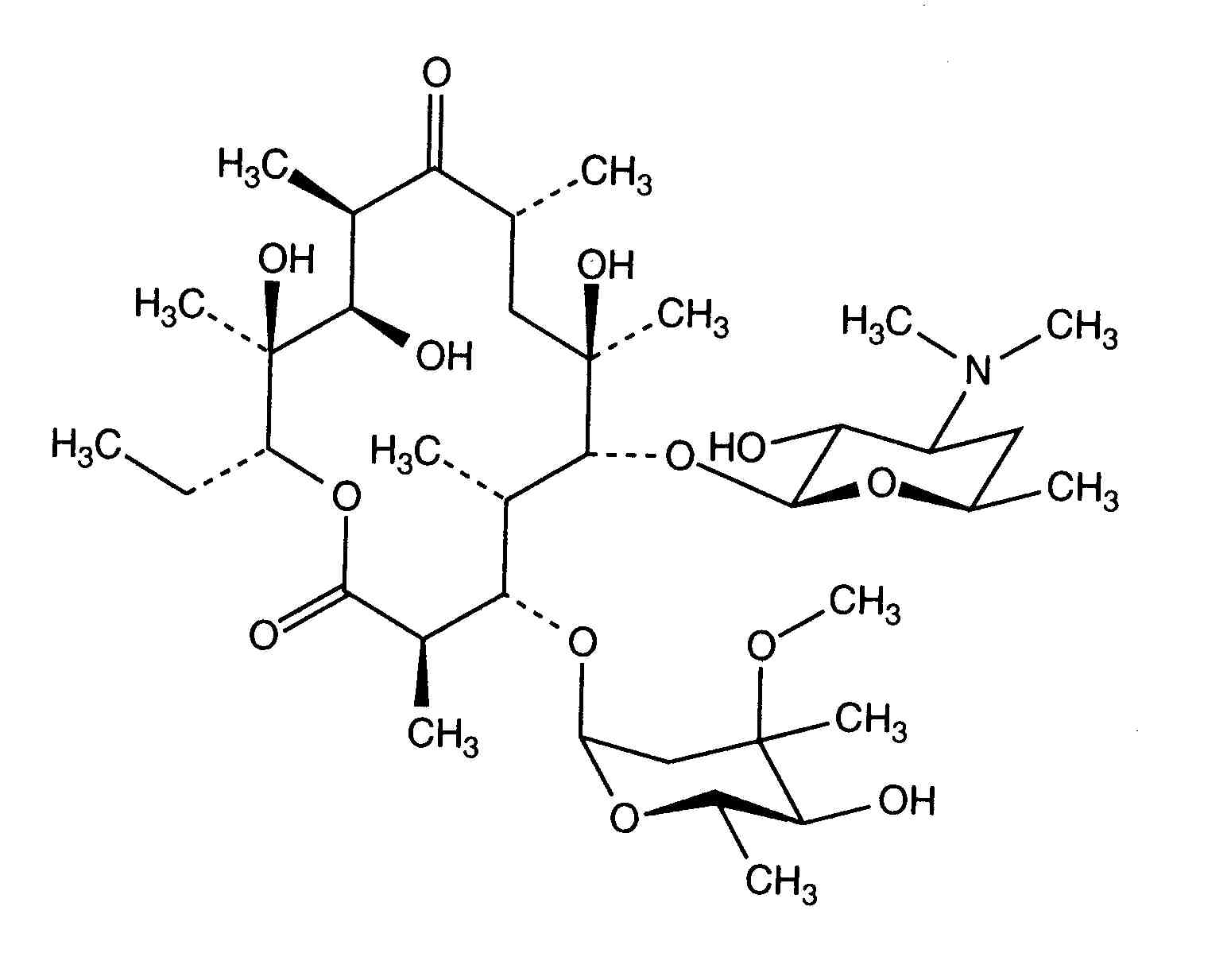
Antibiótico   Erythromycin lactobionate  
Inyectables
Estabilidad en solucion Estabilidad en mezcla Factores que influyen sobre la estabilidad Compatibilidades método de inyección Bibliografía pdf
   Estructura química  

Nombre comercial   Nombre comercial     

Los nombres comerciales son orientativos y los excipientes de la formulación pueden ser distintos dependiendo del país y del laboratorio fabricante.

Abboticin Dinamarca, Finlandia, Noruega, Suecia
Eristin Argentina
Erithromicina Chile
Erycinum Alemania
Erythrocin Alemania, Arabia Saudita, Australia, Austria, Canadá, Estados Unidos de América, Gran Bretaña, Irlanda, Nueva Zelanda
Erythrocin lactobionat ADD Vantage Australia, Austria
Erythrocine Bélgica, Francia, Luxemburgo, Países Bajos, Túnez
Erythromycin Alemania, Arabia Saudita, Estados Unidos de América, Gran Bretaña, Hungría
Erythromycine Luxemburgo
Erythromycinum Polonia
Pantomicina Chile, España
Estabilidad en solucion   Inyectables   Estabilidad en solucion : Erythromycin lactobionate     
Envase Solvente Concentración Temperatura Conservación Duración de la estabilidad Bibliografía
Vidrio Agua para preparación inyectable 50 mg/ml 2-8°C No precisada
24 Hora
3674
Datos de estabilidad del fabricante

Cloruro de polivinilo Cloruro de sodio 0,9% ? mg/ml 5°C A cubierto de la luz
60 Día
1154
Nivel de evidencia D

Cloruro de polivinilo Cloruro de sodio 0,9% 10 mg/ml -20°C A cubierto de la luz
30 Día
573
análisis biológico

Cloruro de polivinilo Cloruro de sodio 0,9% 4,54 mg/ml -20°C A cubierto de la luz
365 Día
22
Nivel de evidencia A+

Cloruro de polivinilo Glucosa 5% 10 mg/ml -20°C A cubierto de la luz
30 Día
573
análisis biológico


  Mentions Légales