Ultimo aggiornamento :
27/04/2026
Antibiotico   Erythromycin lactobionate  
Iniezione
Stabilità in soluzione Stabilità in miscela Fattori che influenzano la stabilità Compatibilità metodo di iniezione Bibliografia pdf
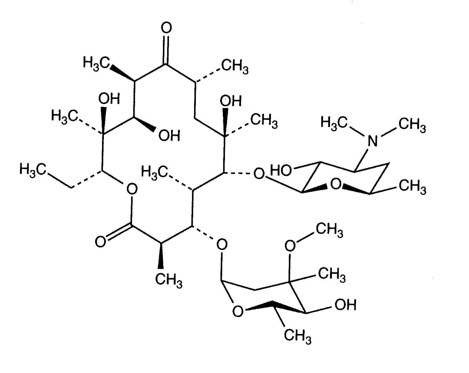
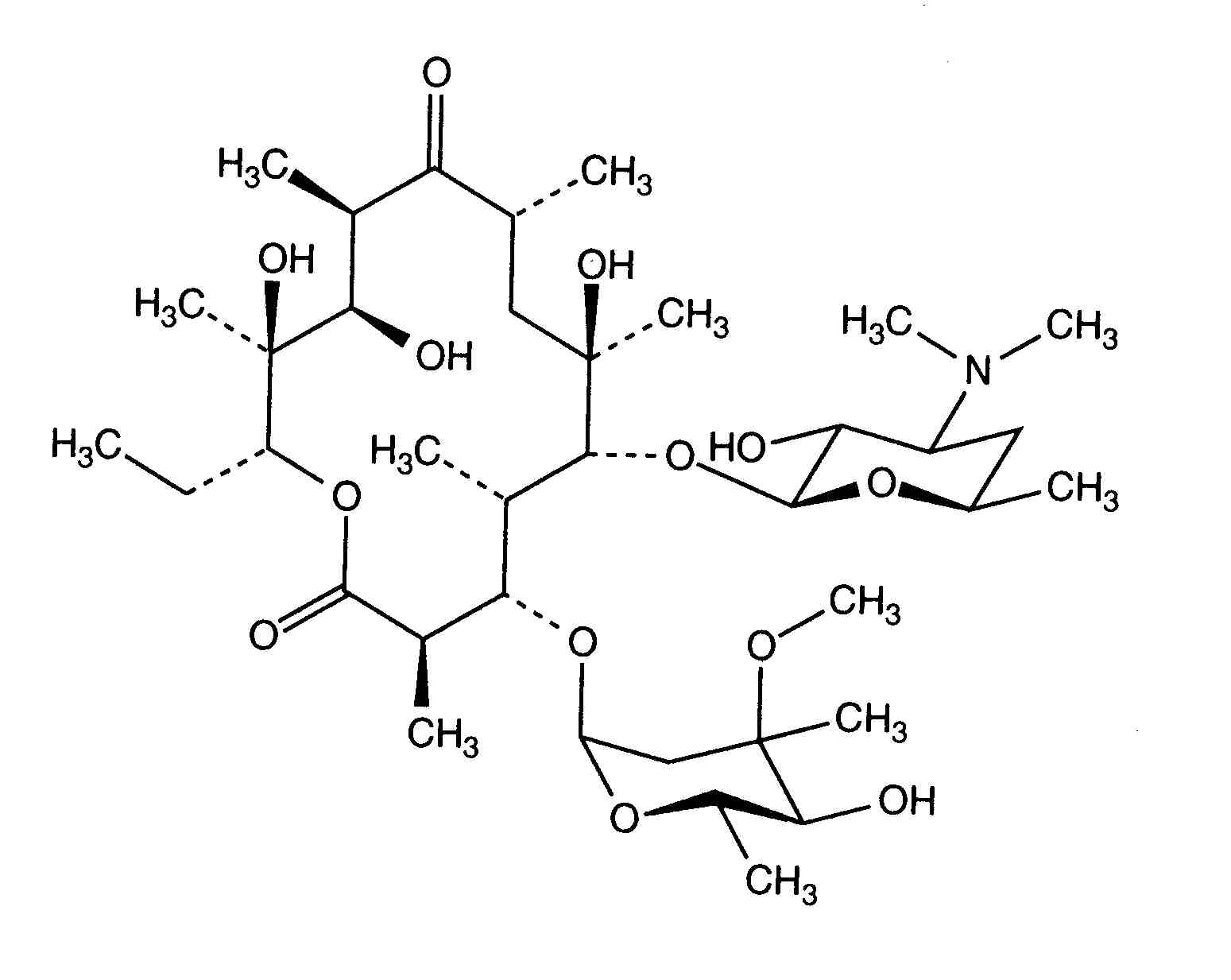
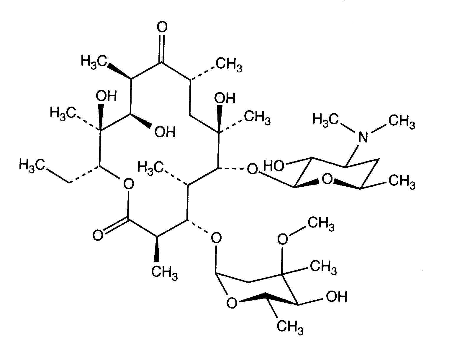
   Struttura chimica  

Nome commerciale   Nome commerciale     

Trade names are indicative and excipients composition can be different depending on the country and manufacturers

Abboticin Danimarca, Finlandia, Norvegia, Svezia
Eristin Argentina
Erithromicina Chile
Erycinum Germania
Erythrocin Arabia Saudita, Australia, Austria, Canada, Germania, Gran Bretagna, Irlanda, nuova Zelanda, Stati Uniti d’America
Erythrocin lactobionat ADD Vantage Australia, Austria
Erythrocine Belgio, Francia, Lussemburgo, Paesi Bassi, Tunisia
Erythromycin Arabia Saudita, Germania, Gran Bretagna, Stati Uniti d’America, Ungheria
Erythromycine Lussemburgo
Erythromycinum Polonia
Pantomicina Chile, Spagna
Stabilità in soluzione   Iniezione   Stabilità in soluzione : Erythromycin lactobionate     
contenitore Solvente Concentrazione Temperatura Conservazione Durata della stabilità Bibliografia
Vetro Acqua per preparato iniettabile 50 mg/ml 2-8°C Non precisata
24 Ora
3674
Dati di stabilità del produttore

Cloruro di polivinile Cloruro di sodio 0,9% ? mg/ml 5°C Al riparo dalla luce
60 Giorno
1154
Livello di evidenza D

Cloruro di polivinile Cloruro di sodio 0,9% 10 mg/ml -20°C Al riparo dalla luce
30 Giorno
573
Analisi biologica

Cloruro di polivinile Cloruro di sodio 0,9% 4,54 mg/ml -20°C Al riparo dalla luce
365 Giorno
22
Livello di evidenza A+

Cloruro di polivinile Glucosio 5% 10 mg/ml -20°C Al riparo dalla luce
30 Giorno
573
Analisi biologica


  Mentions Légales