zadnja posodobitev :
27/01/2026
Antibiotik   Erythromycin lactobionate  
Brizgalka
Stabilnost raztopine Stabilnost mešanice Faktorji, ki vplivajo na stabilnost Kompatibilnost način aplikacije Viri pdf
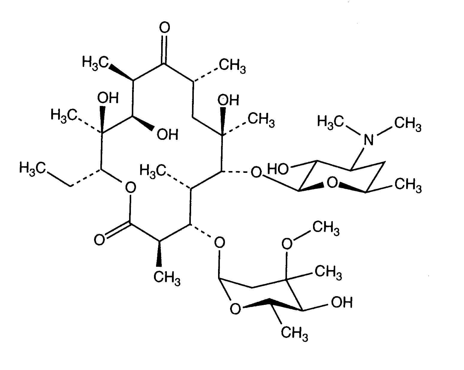
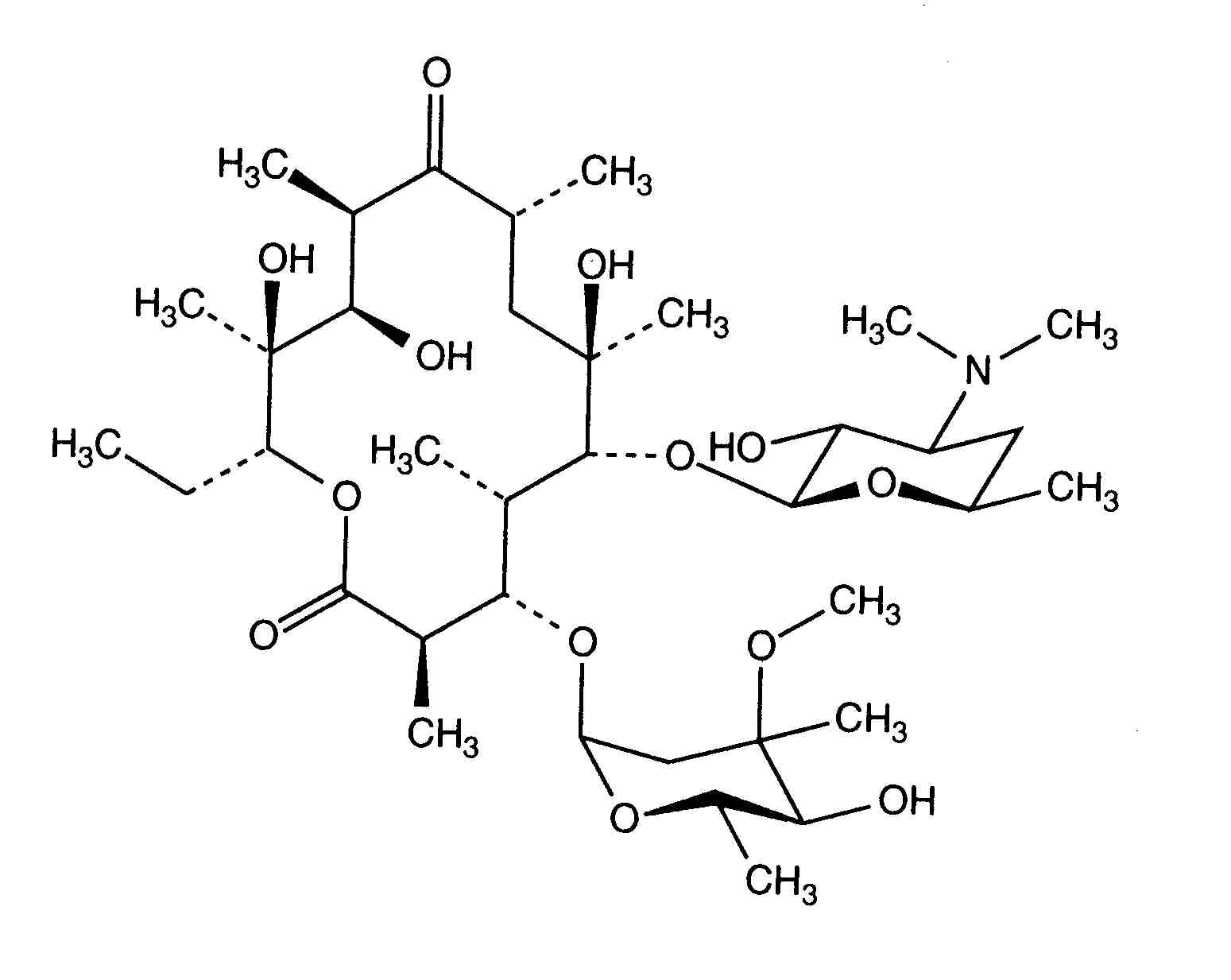
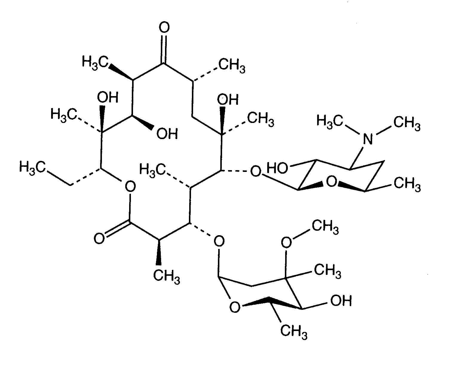
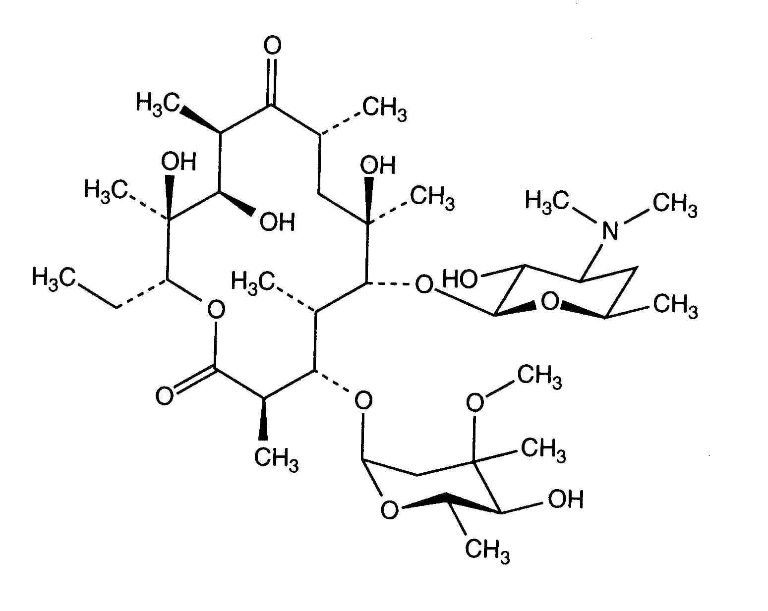
   Kemična formula  

Lastniško ime   Lastniško ime     

Sestava pomožnih snovi je med paralelami lahko različna

Abboticin Danska, Finska, Norveška, Švedska
Eristin Argentina
Erithromicina Čile
Erycinum Nemčija
Erythrocin Avstralija, Avstrija, Irska, Kanada, Nemčija, nova Zelandija, Savdska Arabija, Velika Britanija, Združene države Amerike
Erythrocin lactobionat ADD Vantage Avstralija, Avstrija
Erythrocine Belgija, Francija, Luksemburg, Nizozemska, Tunizija
Erythromycin Madžarska, Nemčija, Savdska Arabija, Velika Britanija, Združene države Amerike
Erythromycine Luksemburg
Erythromycinum Poljska
Pantomicina Čile, Španija
Stabilnost raztopine   Brizgalka   Stabilnost raztopine : Erythromycin lactobionate     
Vsebnik Topilo Koncentracija Temperatura Shranjevanje Trajanje stabilnosti Viri
Steklo Voda za injekcije 50 mg/ml 2-8°C Nedoločeno
24 čas
3674
Podatki stabilnosti proizvajalca

Polivinil klorid Natrijev klorid 0,9% ? mg/ml 5°C Zaščiteno pred svetlobo
60 Dan
1154
 Stopnja dokaza D

Polivinil klorid Natrijev klorid 0,9% 10 mg/ml -20°C Zaščiteno pred svetlobo
30 Dan
573
biološka analiza

Polivinil klorid Natrijev klorid 0,9% 4,54 mg/ml -20°C Zaščiteno pred svetlobo
365 Dan
22
 Stopnja dokaza A+

Polivinil klorid Glukoza 5% 10 mg/ml -20°C Zaščiteno pred svetlobo
30 Dan
573
biološka analiza


  Mentions Légales