Ultimele actualizari :
27/04/2026
Vasodilatator   Alprostadil  
Injectabil
Stabilitatea in solutie Stabilitatea in amestec Factorii care influenteaza stabilitatea Compatibilitate Microunde Bibliografie pdf
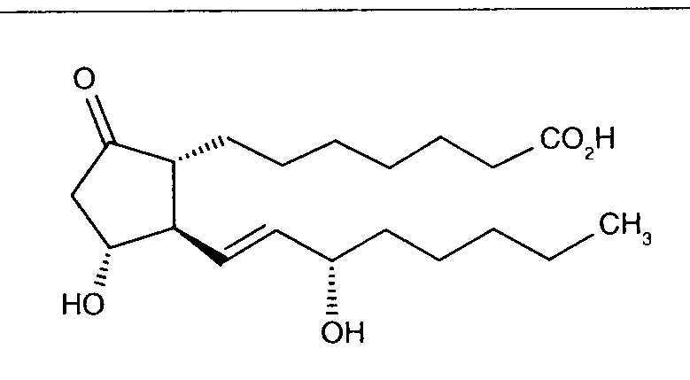
   Formula chimica  

Denumirea comerciala   Denumirea comerciala     

Trade names are indicative and excipients composition can be different depending on the country and manufacturers

Alfaprostin Egipt
Alistint Mexic, Peru
Alprostadil Arabia Saudita, Argentina, Australia, Canada, Chilli, Ecuador, Germania, Malaezia, Peru, Romania, Spania, SUA, Turcia
Alprostapint Argentina, Austria, Columbia, Ecuador, Peru, Ungaria
Alprostar Italia
Aplicav
Cardiobonisol Polonia
Caverject Austria, Belgia, Brazilia, Canada, Chilli, Columbia, Danemarca, Elvetia, Emiratele Arabe Unite, Franta, Italia, Marea Britanie, Norvegia, Polonia, Portugalia, Slovenia, Spania, SUA, Suedia, Turcia
Edex Franta, Grecia, SUA, Tunisia
Liple Japonia
Minprog Austria, Germania
Ostapint Mexic, Peru
Palux Japonia
Pridax Austria, Germania, Romania, Spania
Prolisina VR Argentina
Prostandin Japonia
Prostavasin Austria, Egipt, Germania, Iran, Italia, Luxemburg, Polonia, Ungaria
Prostin VR Arabia Saudita, Belgia, Canada, Columbia, Croatia, Danemarca, Elvetia, Finlanda, Grecia, Iran, Italia, Luxemburg, Malaezia, Marea Britanie, Norvegia, Olanda, Polonia, Portugalia, SUA, Ungaria, Venezuela
Prostine VR Franta
Vasaprostan Romania
Stabilitatea in solutie   Injectabil   Stabilitatea in solutie : Alprostadil     
Continut Solvent Concentratie Temperatura Conservare Durata stabilității Bibiografie
sticla clorura de sodiu 0,9% 25 µg/ml 4°C Neprecizat
82 Ziua
2003
Nivel de evidență B

clorura de polivinil clorura de sodiu 0,9% 11 µg/ml 2-8°C Ferit de lumina
10 Ziua
3961
Nivel de evidență D

polipropilen Glucoza 10% 1.5 µg/ml 28-32°C Lumina
48 Ora
4069
Nivel de evidență C+

polipropilen Glucoza 10% 15 µg/ml 28-32°C Lumina
48 Ora
4069
Nivel de evidență C+

seringă polipropileno Glucoza 10% 1,5 µg/ml 28-32°C Lumina
48 Ora
3761
Nivel de evidență D

seringă polipropileno Glucoza 10% 15 µg/ml 28-32°C Lumina
48 Ora
3761
Nivel de evidență D

neprecizat clorura de sodiu 0,9% 10 µg/ml 2-8°C Ferit de lumina
15 Ziua
2151
Nivel de evidență B


  Mentions Légales