Poslední aktualizace :
27/11/2025
Vasodilatans   Alprostadil  
injekce
Stabilita roztoků Stabilita směsí Faktory ovlivňující stabilitu Kompatibilita Způsoby aplikace Odkazy pdf
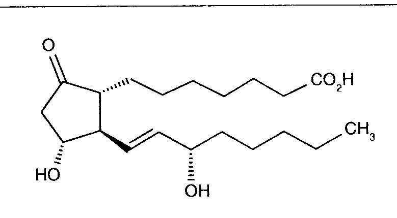
   Chemický vzorec  

Obchodní název   Obchodní název     

Trade names are indicative and excipients composition can be different depending on the country and manufacturers

Alfaprostin Egypt
Alistint Mexiko, Peru
Alprostadil äpanÏlsko, Argentina, Austrálie, Chile, Ekvádor, Kanada, Malajsie, NÏmecko, Peru, Rumunsko, Saúdská Arábie, Turecko, USA
Alprostapint Argentina, Ekvádor, Kolumbie, MaÔarsko, Peru, Rakousko
Alprostar Itálie
Aplicav
Cardiobonisol Polsko
Caverject äpanÏlsko, Belgie, BrazÌlie, Chile, Dánsko, Francie, Itálie, Kanada, Kolumbie, Norsko, Polsko, Portugalsko, Rakousko, Slovinsko, Spojené arabské emiráty, Švédsko, Švýcarsko, Turecko, USA, Velká Británie
Edex Francie, Tunisko, USA, ÿecko
Liple Japonsko
Minprog NÏmecko, Rakousko
Ostapint Mexiko, Peru
Palux Japonsko
Pridax äpanÏlsko, NÏmecko, Rakousko, Rumunsko
Prolisina VR Argentina
Prostandin Japonsko
Prostavasin Egypt, Írán, Itálie, Lucembursko, MaÔarsko, NÏmecko, Polsko, Rakousko
Prostin VR Belgie, Chorvatsko, Dánsko, Finsko, Írán, Itálie, Kanada, Kolumbie, Lucembursko, Malajsie, MaÔarsko, Nizozemsko, Norsko, Polsko, Portugalsko, Saúdská Arábie, Švýcarsko, USA, Velká Británie, Venezuela, ÿecko
Prostine VR Francie
Vasaprostan Rumunsko
Stabilita roztoků   injekce   Stabilita roztoků : Alprostadil     
Obal RozpouötÏdlo Koncentrace Teplota Uchovávání Trvání stability Odkazy
Sklo Chlorid sodný 0,9% 25 µg/ml 4°C Nespecifikováno
82 Den
2003
Úroveň zkoušky B

Polyvinyl chlorid Chlorid sodný 0,9% 11 µg/ml 2-8°C Chráněno před světlem
10 Den
3961
Úroveň zkoušky D

polypropylen GlukÛza 10% 1.5 µg/ml 28-32°C SvÏtlo
48 Hodina
4069
Úroveň zkoušky C+

polypropylen GlukÛza 10% 15 µg/ml 28-32°C SvÏtlo
48 Hodina
4069
Úroveň zkoušky C+

stříkačka polypropylen GlukÛza 10% 1,5 µg/ml 28-32°C SvÏtlo
48 Hodina
3761
Úroveň zkoušky D

stříkačka polypropylen GlukÛza 10% 15 µg/ml 28-32°C SvÏtlo
48 Hodina
3761
Úroveň zkoušky D

Nespecifikováno Chlorid sodný 0,9% 10 µg/ml 2-8°C Chráněno před světlem
15 Den
2151
Úroveň zkoušky B


  Mentions Légales