viimane versioon :
27/04/2026
vasodilataator   Alprostadil  
Süsteravim
Stabiilsus lahustes Stabiilsust mõjutavad tegurid stabiilsust mõjutavad faktorid Sobimatus Manustamis viis Viited pdf
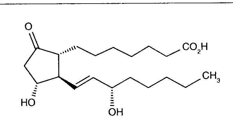
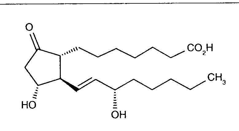
   keemiline struktuur  

Kaubanduslikud nimed erinevates maades   Kaubanduslikud nimed erinevates maades     

Preparaatide nimed on näitlikud ja abianete sisaldus võib erineda sõltuvalt riigist ja laborist

Alfaprostin Egiptus
Alistint Maroko, Mehhiko
Alprostadil Ameerika ühendriigid, Argentiina, Austraalia, Ecuador, Hispaania, Kanada, Malaisia, Maroko, Rumeenia, Saksamaa, Saudi Araabia, Tšiili, Türgi
Alprostapint Argentiina, Austria, Ecuador, Kolumbia, Maroko, Ungari
Alprostar Itaalia
Aplicav
Cardiobonisol Poola
Caverject Ameerika ühendriigid, Araabia Ühendemiraadid, Austria, Belgia, Brasiilia, Hispaania, Itaalia, Kanada, Kolumbia, Norra, Poola, Portugal, Prantsusmaa, Rootsi, Sloveenia, Suurbritannia, Sveits, Taani, Tšiili, Türgi
Edex Ameerika ühendriigid, Kreeka, Prantsusmaa, Tuneesia
Liple Jaapan
Minprog Austria, Saksamaa
Ostapint Maroko, Mehhiko
Palux Jaapan
Pridax Austria, Hispaania, Rumeenia, Saksamaa
Prolisina VR Argentiina
Prostandin Jaapan
Prostavasin Austria, Egiptus, Iraan, Itaalia, Luksemburg, Poola, Saksamaa, Ungari
Prostin VR Ameerika ühendriigid, Belgia, Holland, Horvaatia, Iraan, Itaalia, Kanada, Kolumbia, Kreeka, Luksemburg, Malaisia, Norra, Poola, Portugal, Saudi Araabia, Soome, Suurbritannia, Sveits, Taani, Ungari, Venetsueela
Prostine VR Prantsusmaa
Vasaprostan Rumeenia
Stabiilsus lahustes   Süsteravim   Stabiilsus lahustes : Alprostadil     
konteiner lahusti kontsentratsioon temperatuur ladustamine Stabiilsuse kestus Viited
klaas naatriumkloriid 0.9% 25 µg/ml 4°C pole täpsustatud
82 päev
2003
Tõenduspõhisuse tase B

polüvinüülkloriid naatriumkloriid 0.9% 11 µg/ml 2-8°C kaitsta valguse eest
10 päev
3961
Tõenduspõhisuse tase D

polüpropüleen glükoos 10% 1.5 µg/ml 28-32°C valgus
48 Tund
4069
Tõenduspõhisuse tase C+

polüpropüleen glükoos 10% 15 µg/ml 28-32°C valgus
48 Tund
4069
Tõenduspõhisuse tase C+

süstal  polüpropüleenist glükoos 10% 1,5 µg/ml 28-32°C valgus
48 Tund
3761
Tõenduspõhisuse tase D

süstal  polüpropüleenist glükoos 10% 15 µg/ml 28-32°C valgus
48 Tund
3761
Tõenduspõhisuse tase D

pole täpsustatud naatriumkloriid 0.9% 10 µg/ml 2-8°C kaitsta valguse eest
15 päev
2151
Tõenduspõhisuse tase B


  Mentions Légales