Siste oppdatering :
27/04/2026
Vasodilatator   Alprostadil  
Injeksjon
Oppløsningsstabilitet Stabilitet i blandinger Faktorer som påvirker stabiliteten Kompatibilitet Administrasjonsmåte Referanser pdf
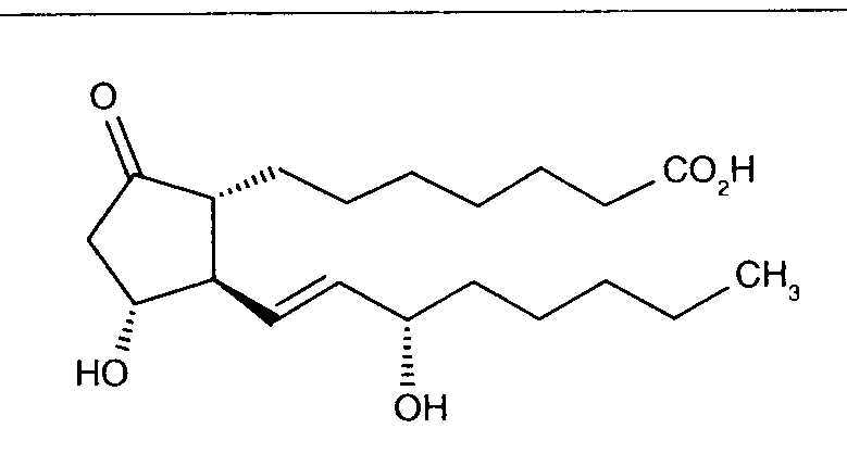
   Kjemisk struktur  

Handelsnavn   Handelsnavn     

Handelsnavn er veiledende og sammensetning av hjelpestoffer kan være forskjellig avhengig av land og produsent

Alfaprostin Egypt
Alistint Mexico, Peru
Alprostadil Argentina, Australia, Canada, Chile, Ecuador, Malaysia, Peru, Romania, Saudi-Arabia, Spania, Tyrkia, Tyskland, USA
Alprostapint Argentina, Colombia, Ecuador, Peru, Ungarn, Østerrike
Alprostar Italia
Aplicav
Cardiobonisol Polen
Caverject Belgia, Brasil, Canada, Chile, Colombia, Danmark, De forente arabiske emirater, Frankrike, Italia, Norge, Polen, Portugal, Slovenia, Spania, Storbritannia, Sveits, Sverige, Tyrkia, USA, Østerrike
Edex Frankrike, Hellas, Tunisia, USA
Liple Japan
Minprog Tyskland, Østerrike
Ostapint Mexico, Peru
Palux Japan
Pridax Romania, Spania, Tyskland, Østerrike
Prolisina VR Argentina
Prostandin Japan
Prostavasin Egypt, Iran, Italia, Luxembourg, Polen, Tyskland, Ungarn, Østerrike
Prostin VR Belgia, Canada, Colombia, Danmark, Finland, Hellas, Iran, Italia, Kroatia, Luxembourg, Malaysia, Nederland, Norge, Polen, Portugal, Saudi-Arabia, Storbritannia, Sveits, Ungarn, USA, Venezuela
Prostine VR Frankrike
Vasaprostan Romania
Oppløsningsstabilitet   Injeksjon   Oppløsningsstabilitet : Alprostadil     
Beholder Oppløsningsmiddel Konsentrasjon Temperatur Oppbevaring Varighet av stabilitet Referanser
Glass Natriumklorid 0,9 % 25 µg/ml 4°C Ikke angitt
82 Dag
2003
Bevisgrad B

Polyvinylklorid Natriumklorid 0,9 % 11 µg/ml 2-8°C Beskyttes mot lys
10 Dag
3961
Bevisgrad D

Polypropylen Glukose 10 % 1.5 µg/ml 28-32°C Lys
48 Tid
4069
Bevisgrad C+

Polypropylen Glukose 10 % 15 µg/ml 28-32°C Lys
48 Tid
4069
Bevisgrad C+

Sprøyte polypropylen Glukose 10 % 1,5 µg/ml 28-32°C Lys
48 Tid
3761
Bevisgrad D

Sprøyte polypropylen Glukose 10 % 15 µg/ml 28-32°C Lys
48 Tid
3761
Bevisgrad D

Ikke angitt Natriumklorid 0,9 % 10 µg/ml 2-8°C Beskyttes mot lys
15 Dag
2151
Bevisgrad B


  Mentions Légales