Última actualização :
27/11/2025
Vasodilatador   Alprostadil  
injetável
Estabilidade em soluções simples Estabilidade em misturas Factores que afectam a sua estabilidade Compatibilidade Método de administração Bibliografía pdf
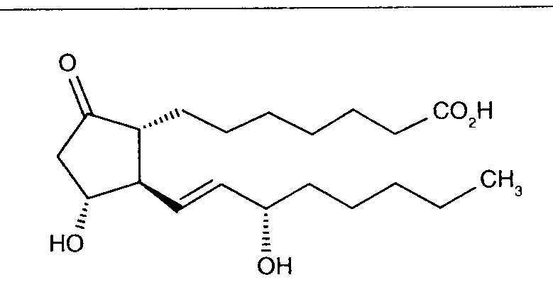
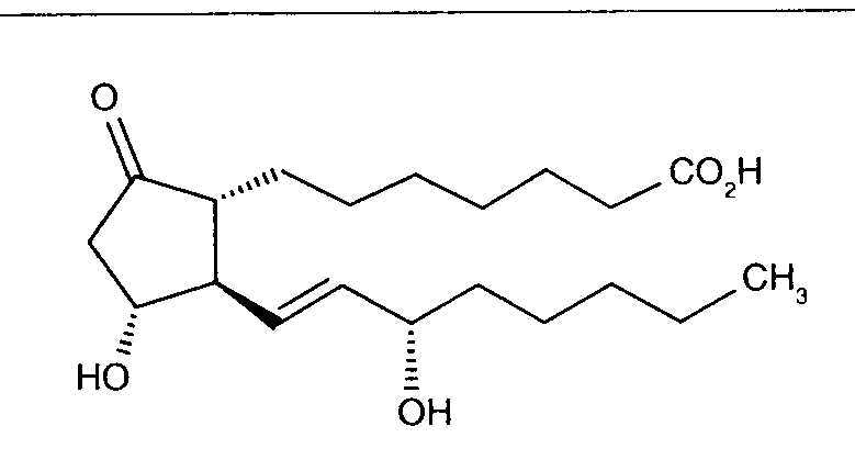
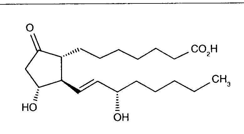
   estrutura química  

Nomes comerciais nos diversos países   Nomes comerciais nos diversos países     

OS NOMES COMERCIAIS SÃO INDICATIVOS E OS EXCIPIENTES DA FORMULAÇÃO PODEM SER DIFERENTES CONFORME O PAÍS E FABRICANTE.

Alfaprostin Egipto
Alistint México, Peru
Alprostadil Alemanha, Arábia Saudita, Argentina, Australia, Canadá, Chilli, Equator, Espanha, Estados Unidos de América, Malásia, Peru, Romènia, Turquia
Alprostapint Argentina, Austria, Colômbia, Equator, Hungria, Peru
Alprostar Itália
Aplicav
Cardiobonisol Polonia
Caverject Austria, Bélgica, Brasil, Canadá, Chilli, Colômbia, Dinamarca, Emirados Árabes Unidos, Eslovenia, Espanha, Estados Unidos de América, França, Gran-bretanha, Itália, Noruega, Polonia, Portugal, Suècia, Suicia, Turquia
Edex Estados Unidos de América, França, Grècia, Tunísia
Liple Japón
Minprog Alemanha, Austria
Ostapint México, Peru
Palux Japón
Pridax Alemanha, Austria, Espanha, Romènia
Prolisina VR Argentina
Prostandin Japón
Prostavasin Alemanha, Austria, Egipto, Hungria, Irã, Itália, Luxemburgo, Polonia
Prostin VR Arábia Saudita, Bélgica, Canadá, Colômbia, Croácia, Dinamarca, Estados Unidos de América, Finlandia, Gran-bretanha, Grècia, Hungria, Irã, Itália, Luxemburgo, Malásia, Noruega, Países Baixos, Polonia, Portugal, Suicia, Venezuela
Prostine VR França
Vasaprostan Romènia
Estabilidade em soluções simples   injetável   Estabilidade em soluções simples : Alprostadil     
Embalagem Solvente concentração temperatura conservação Duração da estabilidade Bibliografia
vidro cloreto de sódio 0,9% 25 µg/ml 4°C no especificado
82 dia
2003
Nível de evidência B

Cloreto de polivinilo cloreto de sódio 0,9% 11 µg/ml 2-8°C ao abrigo da luz
10 dia
3961
Nível de evidência D

Polipropileno Glucose 10% 1.5 µg/ml 28-32°C luz
48 hora
4069
Nível de evidência C+

Polipropileno Glucose 10% 15 µg/ml 28-32°C luz
48 hora
4069
Nível de evidência C+

seringa polipropylen Glucose 10% 1,5 µg/ml 28-32°C luz
48 hora
3761
Nível de evidência D

seringa polipropylen Glucose 10% 15 µg/ml 28-32°C luz
48 hora
3761
Nível de evidência D

no especificado cloreto de sódio 0,9% 10 µg/ml 2-8°C ao abrigo da luz
15 dia
2151
Nível de evidência B


  Mentions Légales