Cập nhật lần cuối :
27/11/2025
Thuốc giãn mạch   Alprostadil  
Dạng tiêm
Tính ổn định của các dung dịch Độ ổn định khi trộn lẫn Những yếu tố ảnh hưởng đến độ ổn định Khả năng tương thích Đường dùng Tài liệu tham khảo Pdf
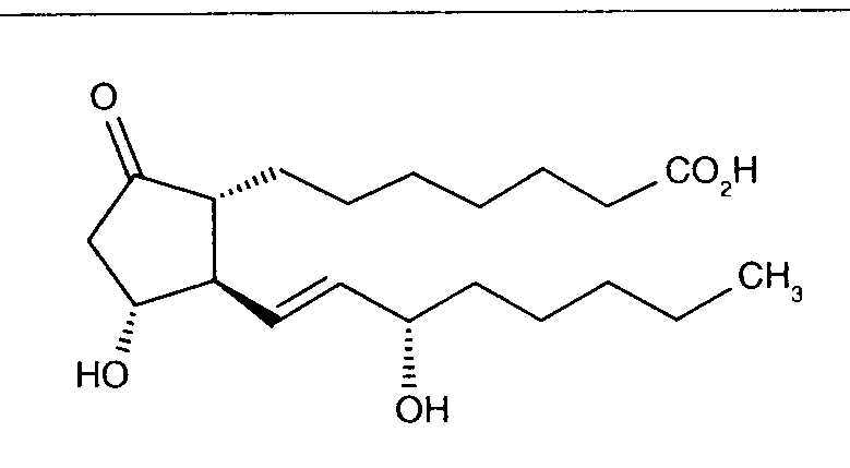
   Cấu trúc hóa học  

Tên thương mại   Tên thương mại     

Các tên thương mại được cung cấp và thành phần tá dược có thể khác nhau giữa các quốc gia và các hãng dược

Alfaprostin Ả Rập
Alistint Mexico, Peru
Alprostadil Ả Rập Saudi, Argentina, Canada, Chile, Ecuador, Hoa Kỳ, Malaysia, Peru, Romania, Tây Ban Nha, Thổ Nhĩ Kỳ, Úc, Đức
Alprostapint Áo, Argentina, Colombia, Ecuador, Hungary, Peru
Alprostar Ý
Aplicav
Cardiobonisol Ba Lan
Caverject Anh, Áo, Ba Lan, Bỉ, Bồ Đào Nha, Brazil, Canada, Chile, Colombia, Hoa Kỳ, Na Uy, Pháp, Slovenia, Tây Ban Nha, Thổ Nhĩ Kỳ, Thụy Sỹ, Thụy Điển, United Arab Emirates, Ý, Đan Mạch
Edex Hoa Kỳ, Hy Lạp, Pháp, Tunisia
Liple Nhật
Minprog Áo, Đức
Ostapint Mexico, Peru
Palux Nhật
Pridax Áo, Romania, Tây Ban Nha, Đức
Prolisina VR Argentina
Prostandin Nhật
Prostavasin Ả Rập, Áo, Ba Lan, Hungary, Iran, Luxembourg, Ý, Đức
Prostin VR Ả Rập Saudi, Anh, Ba Lan, Bỉ, Bồ Đào Nha, Canada, Colombia, Croatia, Hà Lan, Hoa Kỳ, Hungary, Hy Lạp, Iran, Luxembourg, Malaysia, Na Uy, Phần Lan, Thụy Sỹ, Venezuela, Ý, Đan Mạch
Prostine VR Pháp
Vasaprostan Romania
Tính ổn định của các dung dịch   Dạng tiêm   Tính ổn định của các dung dịch : Alprostadil     
Bao bì Dung môi Nồng độ Nhiệt độ Bảo quản Thời gian ổn định Mục lục
Thủy tinh NaCl 0,9% 25 µg/ml 4°C Không rõ
82 Ngày
2003
Cấp độ bằng chứng B

Nhựa polyvinyl chloride NaCl 0,9% 11 µg/ml 2-8°C Tránh ánh sáng
10 Ngày
3961
Cấp độ bằng chứng D

Nhựa polypropylen Glucose 10% 1.5 µg/ml 28-32°C Ánh sáng
48 Giờ
4069
Cấp độ bằng chứng C+

Nhựa polypropylen Glucose 10% 15 µg/ml 28-32°C Ánh sáng
48 Giờ
4069
Cấp độ bằng chứng C+

ống tiêm polypropylene Glucose 10% 1,5 µg/ml 28-32°C Ánh sáng
48 Giờ
3761
Cấp độ bằng chứng D

ống tiêm polypropylene Glucose 10% 15 µg/ml 28-32°C Ánh sáng
48 Giờ
3761
Cấp độ bằng chứng D

Không rõ NaCl 0,9% 10 µg/ml 2-8°C Tránh ánh sáng
15 Ngày
2151
Cấp độ bằng chứng B


  Mentions Légales