Senaste uppdateringen :
27/01/2026
Antibiotikum   Clindamycin phosphate  
injektion
Lösningars stabilitet Stabilitet i blandningar Faktorer som påverkar stabiliteten Kompatibilitet Administreringssätt Hänvisningar pdf
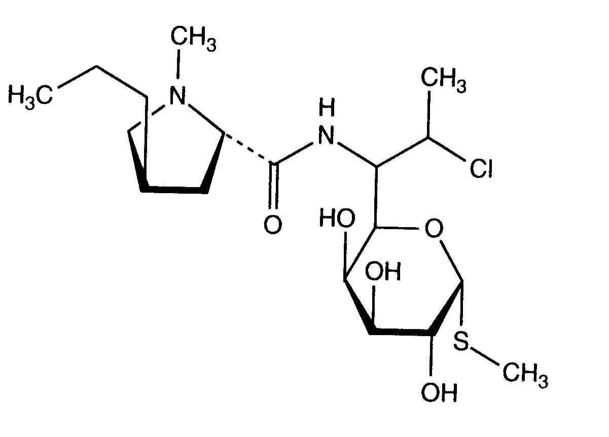
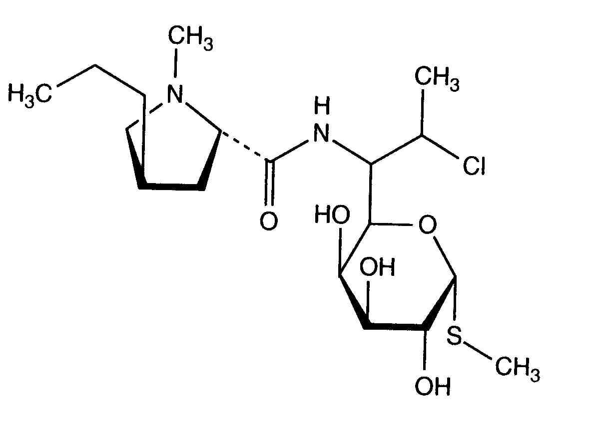
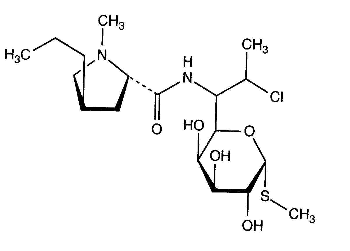
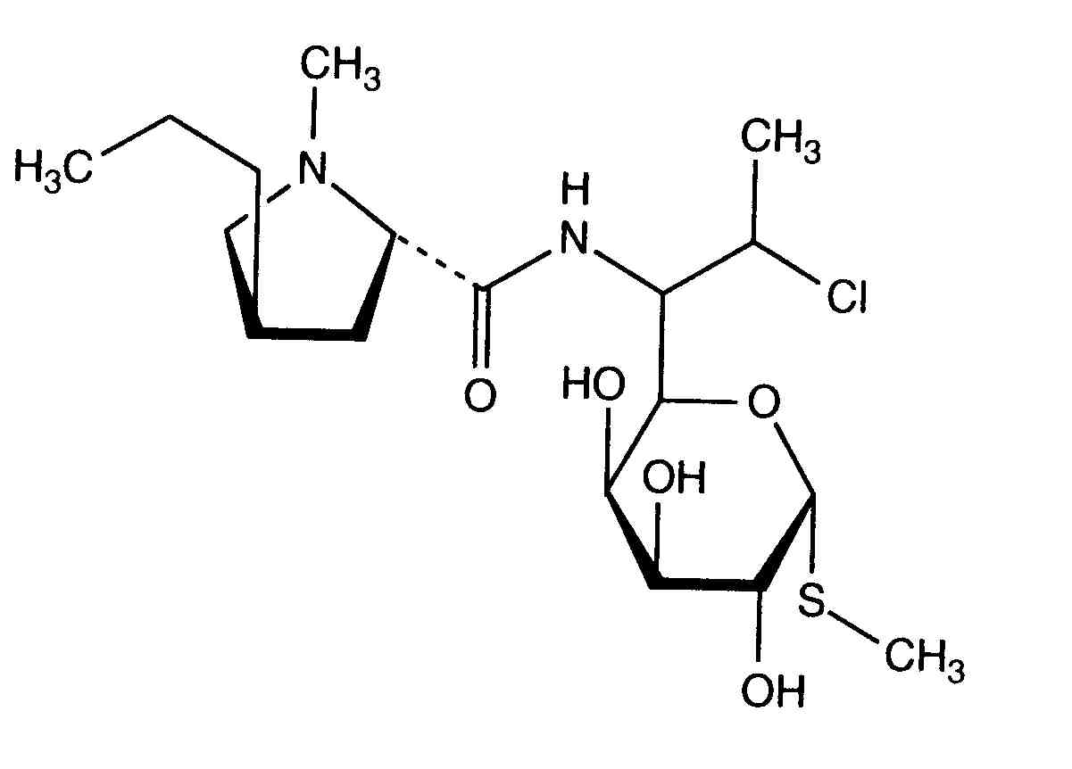
   Molekylstruktur  

Varunamn   Varunamn     

Angivna handelsnamn på läkemedel är enbart vägledande då formulering inklusive hjälpämnen kan variera mellan länder och tillverkare

Biodaclin Mexiko
Camyda Indien
Cinbiot Mexiko
Cleocin Förenta Staterna, Österrike, Turkiet
Clinamsa Mexiko
Clinbac Colombia, Peru
Clincina Portugal
Clinda-Saar Tyskland
Clindacid Venezuela
Clindacin Malaysia
Clindalaf Argentina
Clindamicina Argentina, Brasilien, Chile, Colombia, Ecuador, Italien, Mexiko, Peru, Portugal, Spanien, Venezuela
Clindamycin Förenta Staterna, Iran, Kanada, Norge, Österrike, Rumänien, Saudi-Arabien, Sverige, Tyskland
Clindamycin-Hameln Tyskland
Clindamycine Belgien, Frankrike, Nederländerna, Tunisien
Clindanovag Argentina
Clindarix Brasilien
Clindasol Tyskland
Clindaval Venezuela
Clindazyn Mexiko
Clindo Polen
Clysvic Mexiko
Daclin Chile
Dalacin Australien, Belgien, Chile, Colombia, Danmark, Ecuador, Egypten, Finland, Förenade Arabemiraten, Grekland, Indien, Iran, Irland, Island, Italien, Kanada, Luxemburg, Malaysia, Mexiko, Nederländerna, Norge, nya Zeeland, Polen, Saudi-Arabien, Schweiz, Storbritannien, Sverige, Tunisien, Ungern, Venezuela
Dalacine Frankrike, Tunisien
Daladic Iran
Dalcinex Indien
Damclid Indien
Damicin Colombia, Mexiko
Damicine Colombia
Dolarclin Colombia
Euroclin Colombia, Ecuador
Gynasafe Indien
Indamid Mexiko
Klimicin Polen
Klindan Turkiet
Klindaver Turkiet
Lanacine Österrike
Lincocin Malaysia
Lincosa Malaysia
Meneklin Turkiet
Sobelin Tyskland
Tidact Malaysia
Administreringssätt   Administreringssätt :Clindamycin phosphate     
Voie
Intravenös infusion
Långtidsinfusion
Intramuskulär

  Mentions Légales